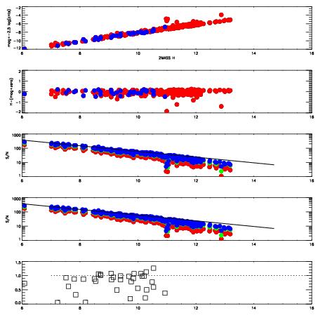
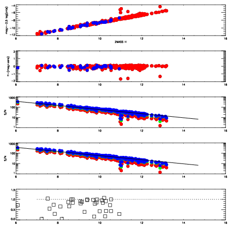
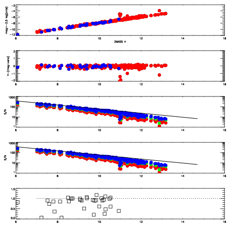
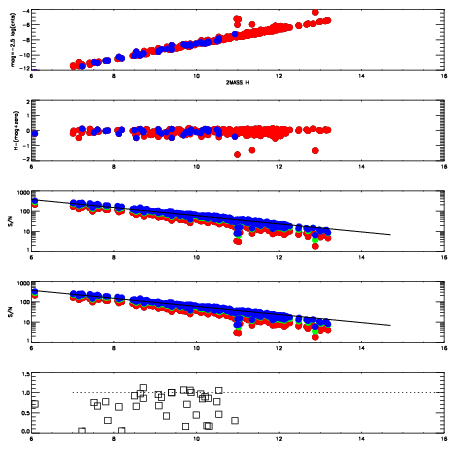
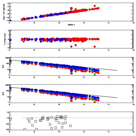
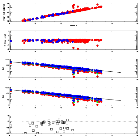
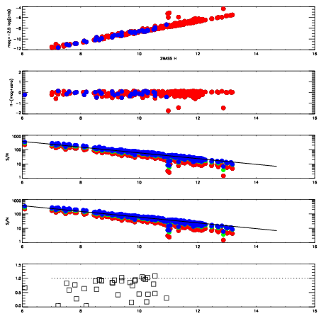
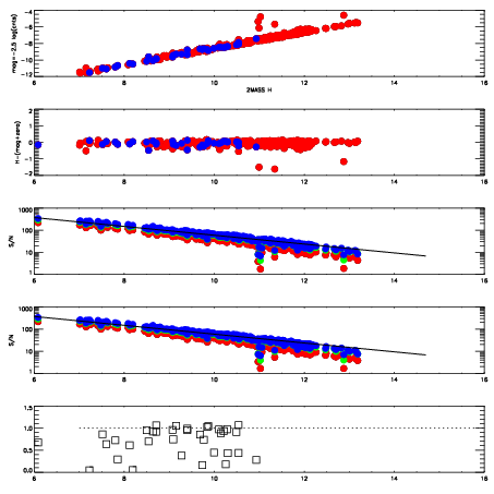
Frame | Nreads | Zeropoints | Mag plots
| Spatial mag deviation
| Spatial sky 16325A emission deviations (filled: sky, open: star)
| Spatial sky continuum emission
| Spatial sky telluric CO2 absorption deviations (filled: H < 10)
|
3140034
| 47
| | Red | Green | Blue
| z | | 18.71
| znorm | | 14.53
| sky | 14.5 | 14.2 | 14.3
| S/N | 12.0 | 20.1 | 21.1
| S/N(c) | 20.1 | 29.4 | 9.8
| SN(E/C) | 0.83
|
|
|
|
|
|
|
3140035
| 47
| | Red | Green | Blue
| z | | 18.64
| znorm | | 14.46
| sky | 14.5 | 14.4 | 14.5
| S/N | 11.6 | 19.1 | 20.4
| S/N(c) | 19.1 | 28.6 | 9.5
| SN(E/C) | 0.85
|
|
|
|
|
|
|
3140036
| 47
| | Red | Green | Blue
| z | | 18.68
| znorm | | 14.50
| sky | 14.7 | 14.5 | 14.7
| S/N | 12.1 | 20.2 | 20.9
| S/N(c) | 19.6 | 29.1 | 9.7
| SN(E/C) | 0.80
|
|
|
|
|
|
|
3140037
| 47
| | Red | Green | Blue
| z | | 18.59
| znorm | | 14.41
| sky | 14.7 | 14.5 | 14.5
| S/N | 11.2 | 19.0 | 20.0
| S/N(c) | 18.8 | 27.8 | 9.3
| SN(E/C) | 0.82
|
|
|
|
|
|
|
3140038
| 47
| | Red | Green | Blue
| z | | 18.68
| znorm | | 14.50
| sky | 14.6 | 14.5 | 14.6
| S/N | 11.8 | 20.5 | 21.1
| S/N(c) | 19.5 | 29.5 | 9.8
| SN(E/C) | 0.82
|
|
|
|
|
|
|
3140039
| 47
| | Red | Green | Blue
| z | | 18.59
| znorm | | 14.41
| sky | 14.9 | 14.5 | 14.4
| S/N | 11.2 | 19.0 | 19.6
| S/N(c) | 18.9 | 27.7 | 9.4
| SN(E/C) | 0.77
|
|
|
|
|
|
|
3140040
| 47
| | Red | Green | Blue
| z | | 18.14
| znorm | | 13.96
| sky | 14.0 | 13.8 | 13.9
| S/N | 7.8 | 13.9 | 14.5
| S/N(c) | 14.0 | 21.4 | 7.4
| SN(E/C) | 0.87
|
|
|
|
|
|
|
3140041
| 47
| | Red | Green | Blue
| z | | 17.96
| znorm | | 13.78
| sky | 14.0 | 13.9 | 14.0
| S/N | 6.7 | 12.3 | 12.8
| S/N(c) | 12.0 | 19.3 | 6.7
| SN(E/C) | 0.90
|
|
|
|
|
|
|
3140042
| 47
| | Red | Green | Blue
| z | | 18.18
| znorm | | 14.00
| sky | 13.9 | 13.8 | 13.9
| S/N | 7.9 | 14.1 | 14.9
| S/N(c) | 14.2 | 21.9 | 7.6
| SN(E/C) | 0.87
|
|
|
|
|
|
|
3140043
| 47
| | Red | Green | Blue
| z | | 18.29
| znorm | | 14.11
| sky | 13.8 | 13.7 | 13.8
| S/N | 8.6 | 14.9 | 15.8
| S/N(c) | 15.2 | 22.8 | 7.9
| SN(E/C) | 0.88
|
|
|
|
|
|
|