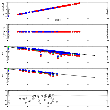
Left plots: red are targets, blue are telluric. Observed mags are calculated from median value of green chip. Zeropoint gives overall throughput: bigger number is more throughput.
First spatial plots: circles are objects, squares are tellurics, crosses are sky fibers. Colors give deviation of observed mag from expected 2MASS mag using the median zeropoint; red is brighter
Second spatial plots: circles are sky fibers. Colors give sky line brightness relative to plate median sky line brightness
FrameNreadsZeropointsMag plots Spatial mag deviation Spatial sky 16325A emission deviations (filled: sky, open: star) Spatial sky continuum emission Spatial sky telluric CO2 absorption deviations (filled: H < 10)
0 0
RedGreenBlue
z17.64
znorm Inf
sky -Inf -Inf -NaN
S/N 23.3 40.5 42.4
S/N(c) 0.0 0.0 0.0
SN(E/C) 0.73

IPAIRNAMESHIFTNEWSHIFTS/N NAMESHIFTNEWSHIFTS/N
0 10910013 0.512215 0.00000 18.8443 10910014 -0.000871309 0.513086 18.8874
1 10910012 0.511563 0.000652015 18.8445 10910015 -0.000907878 0.513123 18.9154
2 10910017 0.510907 0.00130802 18.8335 10910018 -0.00112470 0.513340 18.7456
3 10910016 0.509319 0.00289601 18.8021 10910011 0.00000 0.512215 18.6496