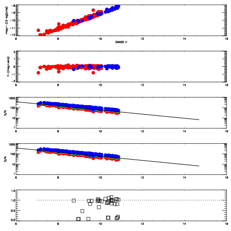
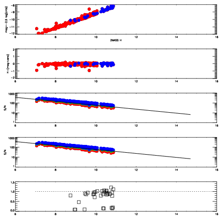
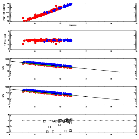
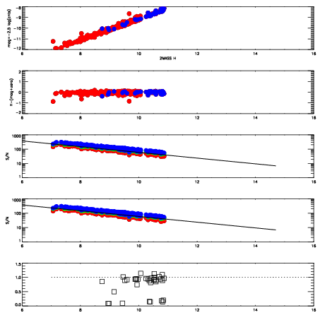
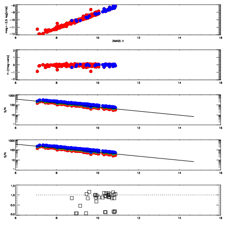
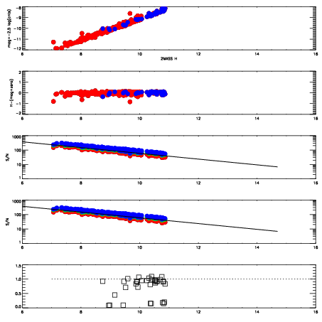
Left plots: red are targets, blue are telluric. Observed mags are calculated from median value of green chip. Zeropoint gives overall throughput: bigger number is more throughput.
First spatial plots: circles are objects, squares are tellurics, crosses are sky fibers. Colors give deviation of observed mag from expected 2MASS mag using the median zeropoint; red is brighter
Second spatial plots: circles are sky fibers. Colors give sky line brightness relative to plate median sky line brightness
FrameNreadsZeropointsMag plots Spatial mag deviation Spatial sky 16325A emission deviations (filled: sky, open: star) Spatial sky continuum emission Spatial sky telluric CO2 absorption deviations (filled: H < 10)
5150063 47
RedGreenBlue
z19.13
znorm14.95
sky 13.9 13.8 13.6
S/N 19.0 27.6 30.7
S/N(c) 19.0 15.4 19.0
SN(E/C) 0.91
5150064 47
RedGreenBlue
z19.15
znorm14.97
sky 13.8 13.7 13.8
S/N 18.7 27.6 30.7
S/N(c) 18.9 15.5 19.2
SN(E/C) 0.94
5150065 47
RedGreenBlue
z19.16
znorm14.98
sky 14.0 13.8 13.9
S/N 18.8 27.3 30.8
S/N(c) 18.9 15.6 19.2
SN(E/C) 0.91
5150066 47
RedGreenBlue
z19.13
znorm14.95
sky 13.9 13.8 14.0
S/N 18.6 26.6 31.0
S/N(c) 18.8 15.5 19.2
SN(E/C) 0.93
5150067 47
RedGreenBlue
z19.18
znorm15.00
sky 14.0 13.9 13.9
S/N 18.7 27.7 31.5
S/N(c) 19.2 15.7 19.8
SN(E/C) 0.89
5150068 47
RedGreenBlue
z19.20
znorm15.02
sky 14.0 13.9 13.9
S/N 19.0 27.9 31.9
S/N(c) 19.3 15.9 20.0
SN(E/C) 0.86