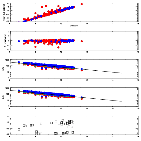
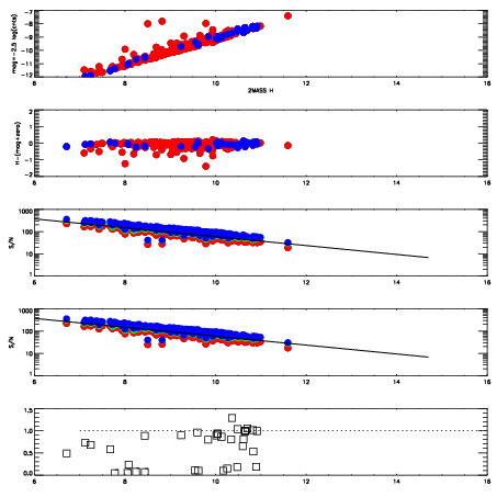
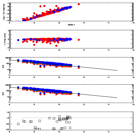
Left plots: red are targets, blue are telluric. Observed mags are calculated from median value of green chip. Zeropoint gives overall throughput: bigger number is more throughput.
First spatial plots: circles are objects, squares are tellurics, crosses are sky fibers. Colors give deviation of observed mag from expected 2MASS mag using the median zeropoint; red is brighter
Second spatial plots: circles are sky fibers. Colors give sky line brightness relative to plate median sky line brightness
FrameNreadsZeropointsMag plots Spatial mag deviation Spatial sky 16325A emission deviations (filled: sky, open: star) Spatial sky continuum emission Spatial sky telluric CO2 absorption deviations (filled: H < 10)
4970010 47
RedGreenBlue
z19.04
znorm14.86
sky 14.4 14.2 14.1
S/N 14.0 21.9 22.8
S/N(c) 25.7 24.4 21.9
SN(E/C) 0.77
4970011 47
RedGreenBlue
z19.11
znorm14.93
sky 14.5 14.4 14.4
S/N 14.2 22.5 23.9
S/N(c) 26.5 24.9 22.5
SN(E/C) 0.74
4970012 47
RedGreenBlue
z19.15
znorm14.97
sky 14.3 14.3 14.4
S/N 14.3 22.7 24.3
S/N(c) 27.0 25.4 23.1
SN(E/C) 0.80
4970013 47
RedGreenBlue
z19.18
znorm14.99
sky 14.3 14.2 14.2
S/N 14.1 22.4 23.7
S/N(c) 27.2 25.9 23.3
SN(E/C) 0.72