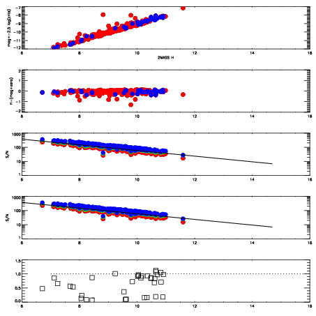
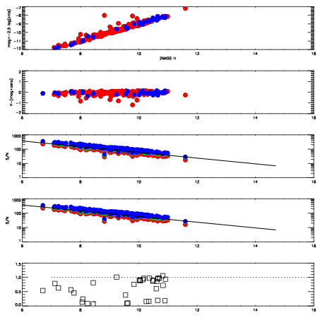
Left plots: red are targets, blue are telluric. Observed mags are calculated from median value of green chip. Zeropoint gives overall throughput: bigger number is more throughput.
First spatial plots: circles are objects, squares are tellurics, crosses are sky fibers. Colors give deviation of observed mag from expected 2MASS mag using the median zeropoint; red is brighter
Second spatial plots: circles are sky fibers. Colors give sky line brightness relative to plate median sky line brightness
FrameNreadsZeropointsMag plots Spatial mag deviation Spatial sky 16325A emission deviations (filled: sky, open: star) Spatial sky continuum emission Spatial sky telluric CO2 absorption deviations (filled: H < 10)
5110010 47
RedGreenBlue
z19.06
znorm14.88
sky 14.3 14.1 14.0
S/N 13.4 20.9 21.9
S/N(c) 15.6 15.7 14.9
SN(E/C) 0.76
5110011 47
RedGreenBlue
z19.10
znorm14.92
sky 14.2 14.3 14.3
S/N 12.8 20.4 21.2
S/N(c) 15.7 15.8 15.3
SN(E/C) 0.73