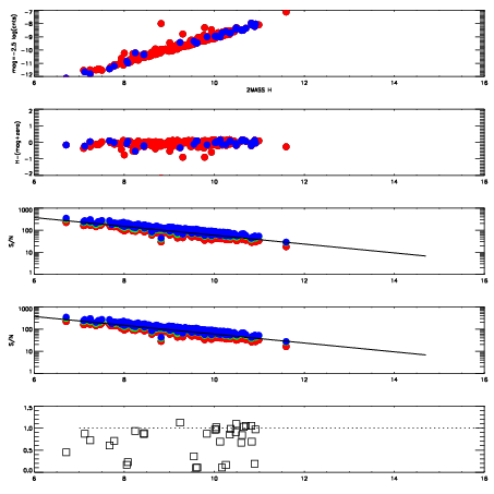
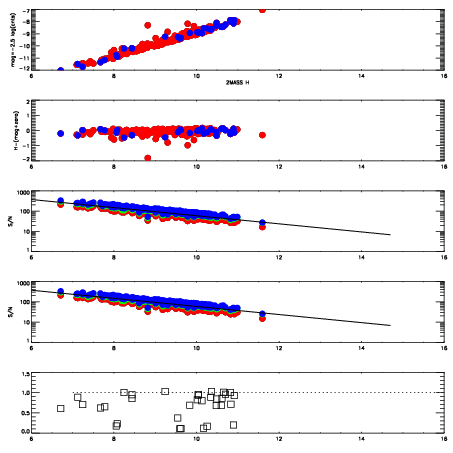
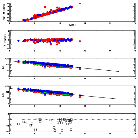
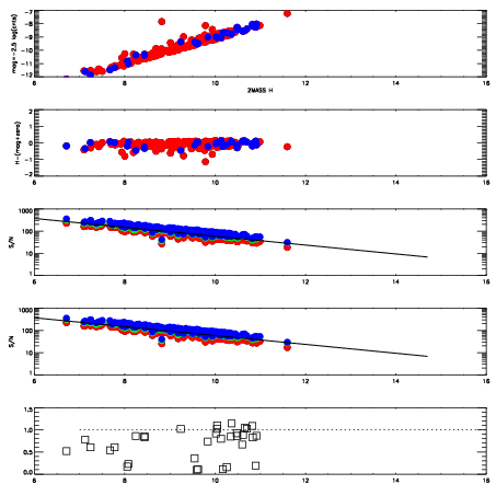
Left plots: red are targets, blue are telluric. Observed mags are calculated from median value of green chip. Zeropoint gives overall throughput: bigger number is more throughput.
First spatial plots: circles are objects, squares are tellurics, crosses are sky fibers. Colors give deviation of observed mag from expected 2MASS mag using the median zeropoint; red is brighter
Second spatial plots: circles are sky fibers. Colors give sky line brightness relative to plate median sky line brightness
FrameNreadsZeropointsMag plots Spatial mag deviation Spatial sky 16325A emission deviations (filled: sky, open: star) Spatial sky continuum emission Spatial sky telluric CO2 absorption deviations (filled: H < 10)
5160038 47
RedGreenBlue
z18.99
znorm14.81
sky 14.4 14.4 14.1
S/N 13.5 21.2 21.9
S/N(c) 25.0 25.0 26.1
SN(E/C) 0.87
5160039 47
RedGreenBlue
z19.06
znorm14.88
sky 14.3 14.4 14.4
S/N 14.2 22.3 23.6
S/N(c) 25.2 25.8 27.1
SN(E/C) 0.83
5160040 47
RedGreenBlue
z19.05
znorm14.87
sky 14.4 14.3 14.4
S/N 13.3 21.0 22.1
S/N(c) 25.1 25.7 27.3
SN(E/C) 0.82
5160041 47
RedGreenBlue
z18.93
znorm14.75
sky 14.3 14.3 14.3
S/N 12.4 20.0 20.6
S/N(c) 23.4 24.3 25.8
SN(E/C) 0.82