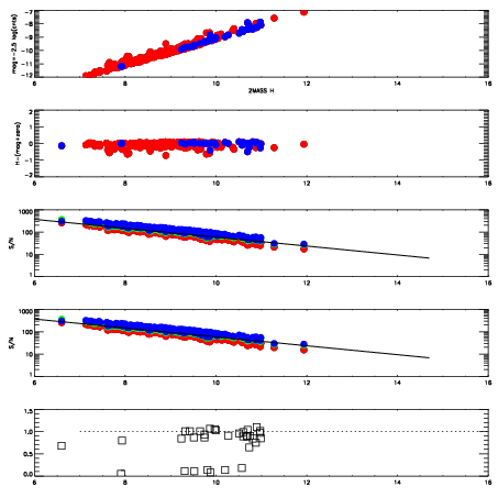
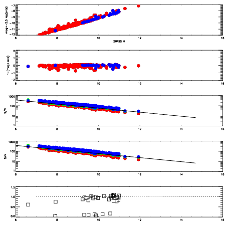
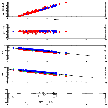
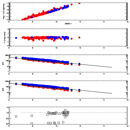
Left plots: red are targets, blue are telluric. Observed mags are calculated from median value of green chip. Zeropoint gives overall throughput: bigger number is more throughput.
First spatial plots: circles are objects, squares are tellurics, crosses are sky fibers. Colors give deviation of observed mag from expected 2MASS mag using the median zeropoint; red is brighter
Second spatial plots: circles are sky fibers. Colors give sky line brightness relative to plate median sky line brightness
FrameNreadsZeropointsMag plots Spatial mag deviation Spatial sky 16325A emission deviations (filled: sky, open: star) Spatial sky continuum emission Spatial sky telluric CO2 absorption deviations (filled: H < 10)
5040010 47
RedGreenBlue
z19.08
znorm14.90
sky 14.1 14.0 13.8
S/N 15.9 24.2 25.5
S/N(c) 15.2 14.7 17.6
SN(E/C) 0.90
5040011 47
RedGreenBlue
z19.07
znorm14.89
sky 14.1 14.1 14.1
S/N 15.1 23.7 25.3
S/N(c) 15.0 14.5 17.7
SN(E/C) 0.93
5040012 47
RedGreenBlue
z19.11
znorm14.93
sky 14.0 14.1 14.0
S/N 15.4 24.0 25.6
S/N(c) 15.1 14.8 18.1
SN(E/C) 0.89
5040013 47
RedGreenBlue
z19.16
znorm14.98
sky 14.2 13.9 13.9
S/N 15.7 24.3 26.0
S/N(c) 15.4 15.2 18.7
SN(E/C) 0.94