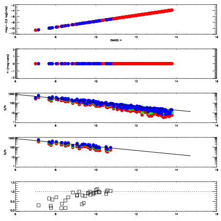
Left plots: red are targets, blue are telluric. Observed mags are calculated from median value of green chip. Zeropoint gives overall throughput: bigger number is more throughput.
First spatial plots: circles are objects, squares are tellurics, crosses are sky fibers. Colors give deviation of observed mag from expected 2MASS mag using the median zeropoint; red is brighter
Second spatial plots: circles are sky fibers. Colors give sky line brightness relative to plate median sky line brightness
FrameNreadsZeropointsMag plots Spatial mag deviation Spatial sky 16325A emission deviations (filled: sky, open: star) Spatial sky continuum emission Spatial sky telluric CO2 absorption deviations (filled: H < 10)
0 0
RedGreenBlue
z17.64
znorm Inf
sky -Inf -NaN -Inf
S/N 17.9 28.6 36.1
S/N(c) 0.0 0.0 0.0
SN(E/C) 0.84

IPAIRNAMESHIFTNEWSHIFTS/N NAMESHIFTNEWSHIFTS/N
0 02560015 0.409501 0.00000 18.6606 02560016 0.00272835 0.406773 18.7525
1 02560019 0.407892 0.00160900 18.8238 02560017 0.00122779 0.408273 18.8055
2 02560018 0.407551 0.00195000 18.5648 02560013 0.00000 0.409501 18.6433
3 02560014 0.407648 0.00185299 18.3787 02560020 0.00276318 0.406738 18.3276