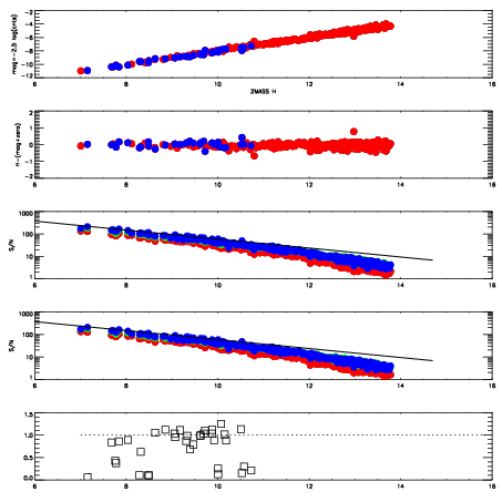
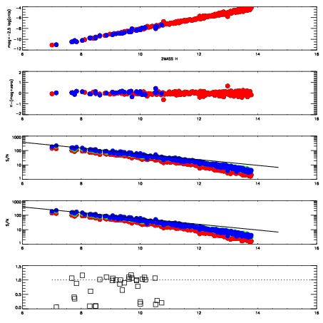
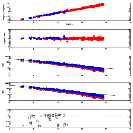
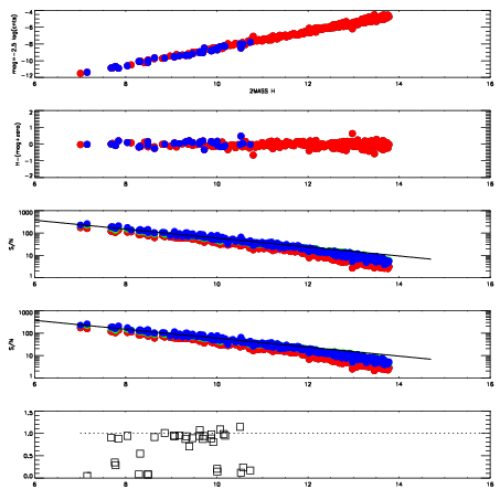
Left plots: red are targets, blue are telluric. Observed mags are calculated from median value of green chip. Zeropoint gives overall throughput: bigger number is more throughput.
First spatial plots: circles are objects, squares are tellurics, crosses are sky fibers. Colors give deviation of observed mag from expected 2MASS mag using the median zeropoint; red is brighter
Second spatial plots: circles are sky fibers. Colors give sky line brightness relative to plate median sky line brightness
FrameNreadsZeropointsMag plots Spatial mag deviation Spatial sky 16325A emission deviations (filled: sky, open: star) Spatial sky continuum emission Spatial sky telluric CO2 absorption deviations (filled: H < 10)
4900080 47
RedGreenBlue
z18.55
znorm14.37
sky 14.7 14.6 14.6
S/N 12.4 18.8 18.2
S/N(c) 2.7 20.2 16.7
SN(E/C) 0.88
4900081 47
RedGreenBlue
z18.56
znorm14.38
sky 14.7 14.6 15.0
S/N 12.4 19.0 18.5
S/N(c) 2.7 20.1 16.7
SN(E/C) 0.91
4900082 47
RedGreenBlue
z18.14
znorm13.96
sky 14.4 14.5 14.7
S/N 9.1 14.7 14.1
S/N(c) 2.1 16.6 13.6
SN(E/C) 0.97
4900083 47
RedGreenBlue
z18.06
znorm13.88
sky 14.1 14.0 14.2
S/N 8.3 13.5 13.2
S/N(c) 1.9 15.4 12.5
SN(E/C) 0.88