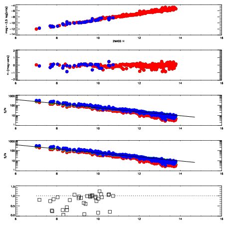
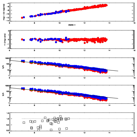
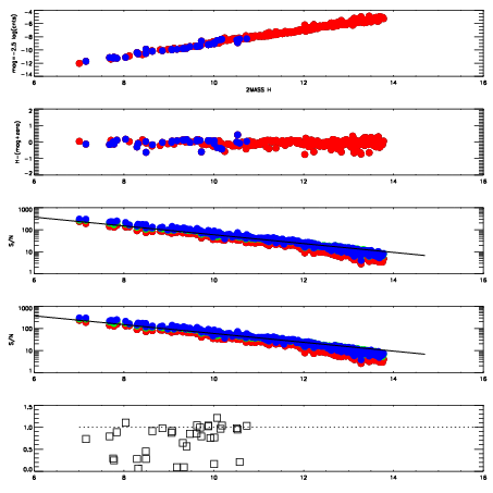
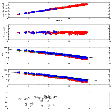
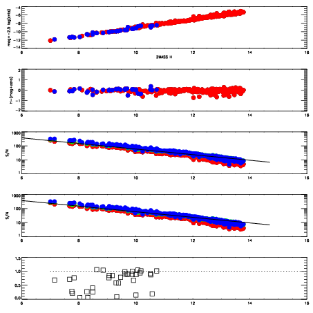
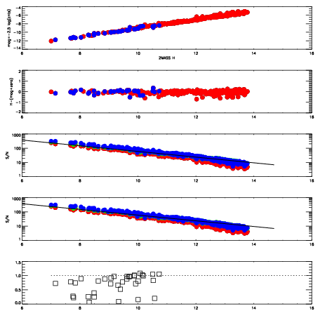
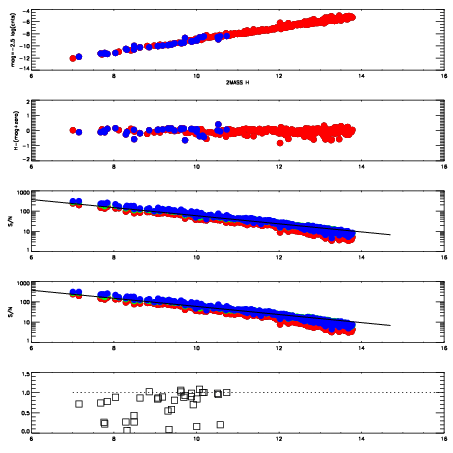
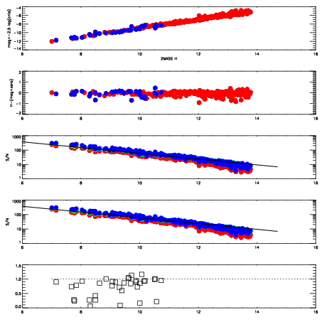
Frame | Nreads | Zeropoints | Mag plots
| Spatial mag deviation
| Spatial sky 16325A emission deviations (filled: sky, open: star)
| Spatial sky continuum emission
| Spatial sky telluric CO2 absorption deviations (filled: H < 10)
|
5220051
| 47
| | Red | Green | Blue
| z | | 19.00
| znorm | | 14.82
| sky | 14.0 | 13.8 | 14.0
| S/N | 14.8 | 23.2 | 23.5
| S/N(c) | 17.8 | 23.8 | 15.2
| SN(E/C) | 0.89
|
|
|
|
|
|
|
5220052
| 47
| | Red | Green | Blue
| z | | 19.01
| znorm | | 14.83
| sky | 14.0 | 13.9 | 13.8
| S/N | 15.0 | 22.5 | 22.7
| S/N(c) | 18.0 | 24.3 | 14.8
| SN(E/C) | 0.86
|
|
|
|
|
|
|
5220053
| 47
| | Red | Green | Blue
| z | | 18.99
| znorm | | 14.81
| sky | 14.0 | 13.9 | 14.0
| S/N | 15.3 | 22.3 | 22.4
| S/N(c) | 18.1 | 24.0 | 15.3
| SN(E/C) | 0.85
|
|
|
|
|
|
|
5220054
| 47
| | Red | Green | Blue
| z | | 19.04
| znorm | | 14.86
| sky | 13.9 | 13.8 | 14.0
| S/N | 15.5 | 22.8 | 23.2
| S/N(c) | 18.5 | 24.9 | 15.8
| SN(E/C) | 0.84
|
|
|
|
|
|
|
5220055
| 47
| | Red | Green | Blue
| z | | 19.13
| znorm | | 14.95
| sky | 14.0 | 14.0 | 14.1
| S/N | 16.4 | 23.7 | 23.9
| S/N(c) | 19.6 | 26.0 | 16.6
| SN(E/C) | 0.85
|
|
|
|
|
|
|
5220056
| 47
| | Red | Green | Blue
| z | | 19.10
| znorm | | 14.92
| sky | 14.0 | 13.9 | 14.0
| S/N | 16.3 | 23.6 | 24.0
| S/N(c) | 19.5 | 25.9 | 16.6
| SN(E/C) | 0.81
|
|
|
|
|
|
|
5220057
| 47
| | Red | Green | Blue
| z | | 19.12
| znorm | | 14.94
| sky | 13.9 | 14.0 | 14.0
| S/N | 16.2 | 23.6 | 24.2
| S/N(c) | 19.7 | 26.1 | 16.8
| SN(E/C) | 0.78
|
|
|
|
|
|
|
5220058
| 47
| | Red | Green | Blue
| z | | 19.09
| znorm | | 14.91
| sky | 13.9 | 14.0 | 14.0
| S/N | 16.0 | 23.7 | 24.0
| S/N(c) | 19.1 | 25.4 | 16.3
| SN(E/C) | 0.81
|
|
|
|
|
|
|
5220059
| 47
| | Red | Green | Blue
| z | | 19.05
| znorm | | 14.87
| sky | 14.1 | 14.0 | 14.0
| S/N | 15.7 | 22.9 | 23.7
| S/N(c) | 18.8 | 25.1 | 16.1
| SN(E/C) | 0.86
|
|
|
|
|
|
|