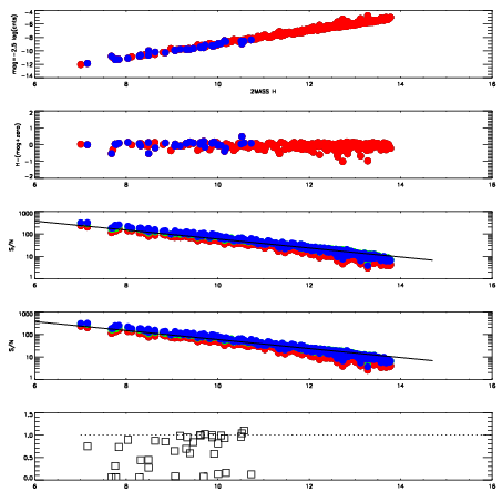
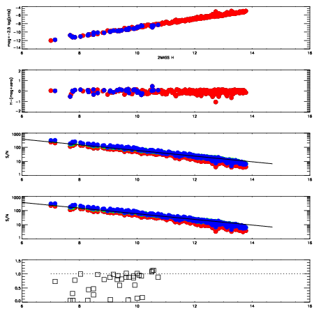
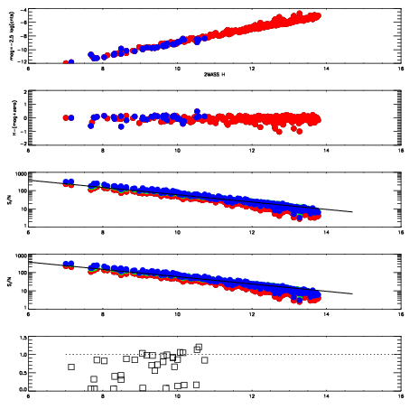
Left plots: red are targets, blue are telluric. Observed mags are calculated from median value of green chip. Zeropoint gives overall throughput: bigger number is more throughput.
First spatial plots: circles are objects, squares are tellurics, crosses are sky fibers. Colors give deviation of observed mag from expected 2MASS mag using the median zeropoint; red is brighter
Second spatial plots: circles are sky fibers. Colors give sky line brightness relative to plate median sky line brightness
FrameNreadsZeropointsMag plots Spatial mag deviation Spatial sky 16325A emission deviations (filled: sky, open: star) Spatial sky continuum emission Spatial sky telluric CO2 absorption deviations (filled: H < 10)
4910080 47
RedGreenBlue
z18.98
znorm14.80
sky 14.4 14.3 14.3
S/N 13.6 21.2 22.5
S/N(c) 33.4 21.5 49.2
SN(E/C) 0.80
4910081 47
RedGreenBlue
z19.04
znorm14.85
sky 14.3 14.3 14.5
S/N 14.2 22.8 22.9
S/N(c) 34.2 22.0 51.1
SN(E/C) 0.80
4910082 47
RedGreenBlue
z19.01
znorm14.83
sky 14.5 14.4 14.5
S/N 14.3 22.6 22.3
S/N(c) 34.2 21.9 51.4
SN(E/C) 0.75
4910083 47
RedGreenBlue
z18.96
znorm14.78
sky 14.5 14.4 14.5
S/N 13.6 22.2 22.0
S/N(c) 32.8 21.2 49.5
SN(E/C) 0.82