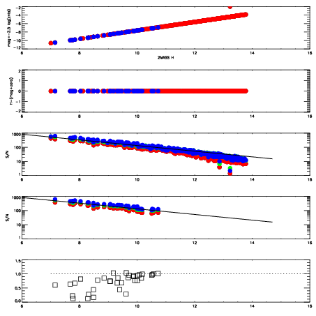
Left plots: red are targets, blue are telluric. Observed mags are calculated from median value of green chip. Zeropoint gives overall throughput: bigger number is more throughput.
First spatial plots: circles are objects, squares are tellurics, crosses are sky fibers. Colors give deviation of observed mag from expected 2MASS mag using the median zeropoint; red is brighter
Second spatial plots: circles are sky fibers. Colors give sky line brightness relative to plate median sky line brightness
FrameNreadsZeropointsMag plots Spatial mag deviation Spatial sky 16325A emission deviations (filled: sky, open: star) Spatial sky continuum emission Spatial sky telluric CO2 absorption deviations (filled: H < 10)
0 0
RedGreenBlue
z17.64
znorm Inf
sky -Inf -Inf -Inf
S/N 26.6 42.4 42.4
S/N(c) 0.0 0.0 0.0
SN(E/C) 0.78

IPAIRNAMESHIFTNEWSHIFTS/N NAMESHIFTNEWSHIFTS/N
0 08500071 0.491227 0.00000 18.8586 08500074 0.00369415 0.487533 18.8353
1 08500075 0.489027 0.00220001 18.8690 08500073 0.00503944 0.486188 18.8599
2 08500072 0.490935 0.000292003 18.8401 08500069 0.00320600 0.488021 18.7929
3 08500067 0.488382 0.00284499 18.8237 08500066 0.00000 0.491227 18.7705
4 08500068 0.489663 0.00156400 18.7509 08500070 0.00464264 0.486584 18.6419