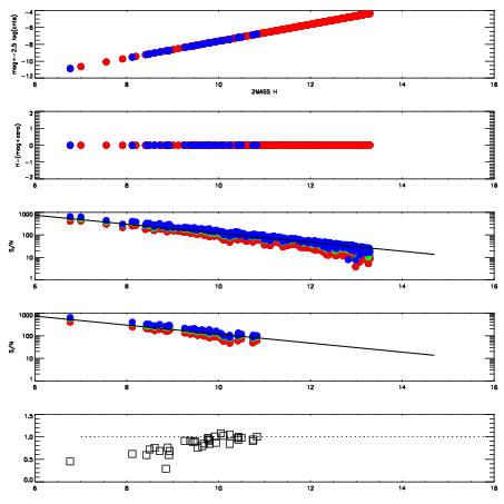
Left plots: red are targets, blue are telluric. Observed mags are calculated from median value of green chip. Zeropoint gives overall throughput: bigger number is more throughput.
First spatial plots: circles are objects, squares are tellurics, crosses are sky fibers. Colors give deviation of observed mag from expected 2MASS mag using the median zeropoint; red is brighter
Second spatial plots: circles are sky fibers. Colors give sky line brightness relative to plate median sky line brightness
FrameNreadsZeropointsMag plots Spatial mag deviation Spatial sky 16325A emission deviations (filled: sky, open: star) Spatial sky continuum emission Spatial sky telluric CO2 absorption deviations (filled: H < 10)
0 0
RedGreenBlue
z17.64
znorm Inf
sky -Inf -Inf -Inf
S/N 28.9 47.6 49.6
S/N(c) 0.0 0.0 0.0
SN(E/C) 0.90

IPAIRNAMESHIFTNEWSHIFTS/N NAMESHIFTNEWSHIFTS/N
0 09810013 0.520321 0.00000 19.0431 09810011 0.00000 0.520321 19.0682
1 09810012 0.520286 3.49879e-05 19.0325 09810015 -0.00207878 0.522400 19.0630
2 09810016 0.519509 0.000811994 18.9089 09810014 -0.00183369 0.522155 19.0532
3 09810017 0.520083 0.000238001 18.8763 09810018 -0.00214481 0.522466 18.8903