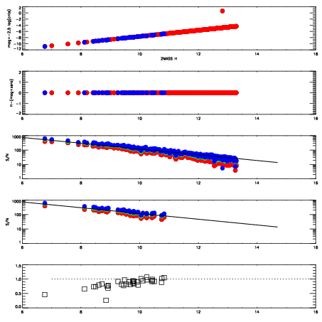
Left plots: red are targets, blue are telluric. Observed mags are calculated from median value of green chip. Zeropoint gives overall throughput: bigger number is more throughput.
First spatial plots: circles are objects, squares are tellurics, crosses are sky fibers. Colors give deviation of observed mag from expected 2MASS mag using the median zeropoint; red is brighter
Second spatial plots: circles are sky fibers. Colors give sky line brightness relative to plate median sky line brightness
FrameNreadsZeropointsMag plots Spatial mag deviation Spatial sky 16325A emission deviations (filled: sky, open: star) Spatial sky continuum emission Spatial sky telluric CO2 absorption deviations (filled: H < 10)
0 0
RedGreenBlue
z17.64
znorm Inf
sky -Inf -Inf -Inf
S/N 24.1 39.2 44.5
S/N(c) 0.0 0.0 0.0
SN(E/C) 0.89

IPAIRNAMESHIFTNEWSHIFTS/N NAMESHIFTNEWSHIFTS/N
0 09820016 0.526037 0.00000 18.9182 09820015 0.00150619 0.524531 18.9135
1 09820013 0.522482 0.00355500 18.9167 09820018 0.00167268 0.524364 18.8751
2 09820012 0.523118 0.00291896 18.9069 09820014 0.00151790 0.524519 18.8748
3 09820017 0.525680 0.000356972 18.8519 09820011 0.00000 0.526037 18.8431