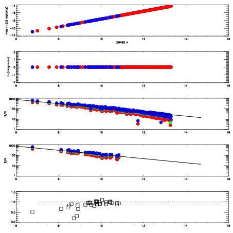
Left plots: red are targets, blue are telluric. Observed mags are calculated from median value of green chip. Zeropoint gives overall throughput: bigger number is more throughput.
First spatial plots: circles are objects, squares are tellurics, crosses are sky fibers. Colors give deviation of observed mag from expected 2MASS mag using the median zeropoint; red is brighter
Second spatial plots: circles are sky fibers. Colors give sky line brightness relative to plate median sky line brightness
FrameNreadsZeropointsMag plots Spatial mag deviation Spatial sky 16325A emission deviations (filled: sky, open: star) Spatial sky continuum emission Spatial sky telluric CO2 absorption deviations (filled: H < 10)
0 0
RedGreenBlue
z17.63
znorm Inf
sky -NaN -NaN -Inf
S/N 22.3 37.1 40.7
S/N(c) 0.0 0.0 0.0
SN(E/C) 0.92

IPAIRNAMESHIFTNEWSHIFTS/N NAMESHIFTNEWSHIFTS/N
0 09970017 0.522829 0.00000 18.9130 09970015 -4.72719e-05 0.522876 18.8748
1 09970016 0.522276 0.000553012 18.8749 09970018 0.00150584 0.521323 18.8395
2 09970013 0.521673 0.00115597 18.8464 09970014 0.000206255 0.522623 18.8224
3 09970012 0.521601 0.00122797 18.7751 09970011 0.00000 0.522829 18.7302