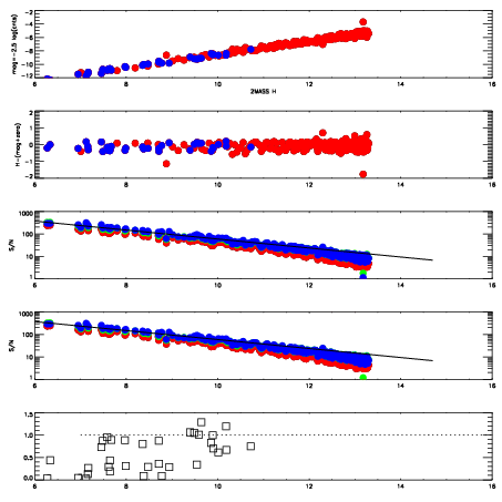
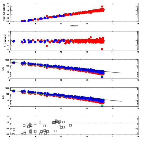
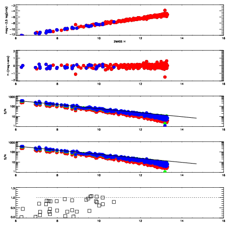
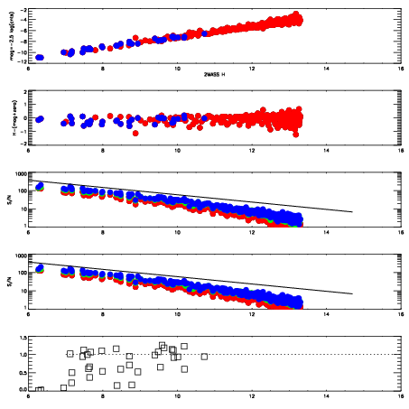
Left plots: red are targets, blue are telluric. Observed mags are calculated from median value of green chip. Zeropoint gives overall throughput: bigger number is more throughput.
First spatial plots: circles are objects, squares are tellurics, crosses are sky fibers. Colors give deviation of observed mag from expected 2MASS mag using the median zeropoint; red is brighter
Second spatial plots: circles are sky fibers. Colors give sky line brightness relative to plate median sky line brightness
FrameNreadsZeropointsMag plots Spatial mag deviation Spatial sky 16325A emission deviations (filled: sky, open: star) Spatial sky continuum emission Spatial sky telluric CO2 absorption deviations (filled: H < 10)
12340042 47
RedGreenBlue
z18.49
znorm14.30
sky 13.5 13.4 13.5
S/N 10.6 16.7 16.7
S/N(c) 16.5 4.4 7.1
SN(E/C) 0.67
12340043 47
RedGreenBlue
z18.86
znorm14.68
sky 14.0 13.9 14.0
S/N 14.3 21.8 22.7
S/N(c) 21.4 5.2 9.0
SN(E/C) 0.64
12340044 47
RedGreenBlue
z18.64
znorm14.46
sky 13.6 13.6 13.7
S/N 12.0 19.0 19.6
S/N(c) 18.3 4.5 7.8
SN(E/C) 0.67
12340045 47
RedGreenBlue
z17.35
znorm13.17
sky 13.1 13.0 13.2
S/N 3.9 7.0 7.1
S/N(c) 6.9 2.1 3.4
SN(E/C) 0.91