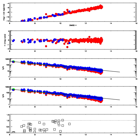
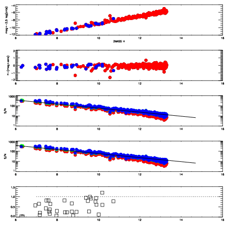
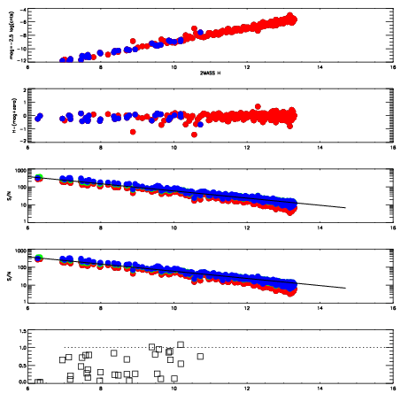
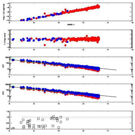
Left plots: red are targets, blue are telluric. Observed mags are calculated from median value of green chip. Zeropoint gives overall throughput: bigger number is more throughput.
First spatial plots: circles are objects, squares are tellurics, crosses are sky fibers. Colors give deviation of observed mag from expected 2MASS mag using the median zeropoint; red is brighter
Second spatial plots: circles are sky fibers. Colors give sky line brightness relative to plate median sky line brightness
FrameNreadsZeropointsMag plots Spatial mag deviation Spatial sky 16325A emission deviations (filled: sky, open: star) Spatial sky continuum emission Spatial sky telluric CO2 absorption deviations (filled: H < 10)
12380011 47
RedGreenBlue
z18.98
znorm14.79
sky 14.5 14.3 14.3
S/N 15.9 24.5 24.0
S/N(c) 4.8 4.6 17.7
SN(E/C) 0.54
12380012 47
RedGreenBlue
z18.97
znorm14.79
sky 14.4 14.6 14.6
S/N 15.3 24.1 23.9
S/N(c) 4.7 4.5 16.8
SN(E/C) 0.47
12380013 47
RedGreenBlue
z19.05
znorm14.87
sky 14.6 14.5 14.5
S/N 16.1 25.2 25.4
S/N(c) 4.9 4.7 17.2
SN(E/C) 0.57
12380014 47
RedGreenBlue
z19.04
znorm14.86
sky 14.7 14.5 14.6
S/N 15.9 25.2 25.4
S/N(c) 4.9 4.6 17.0
SN(E/C) 0.51