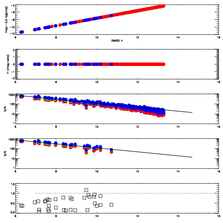
Left plots: red are targets, blue are telluric. Observed mags are calculated from median value of green chip. Zeropoint gives overall throughput: bigger number is more throughput.
First spatial plots: circles are objects, squares are tellurics, crosses are sky fibers. Colors give deviation of observed mag from expected 2MASS mag using the median zeropoint; red is brighter
Second spatial plots: circles are sky fibers. Colors give sky line brightness relative to plate median sky line brightness
FrameNreadsZeropointsMag plots Spatial mag deviation Spatial sky 16325A emission deviations (filled: sky, open: star) Spatial sky continuum emission Spatial sky telluric CO2 absorption deviations (filled: H < 10)
0 0
RedGreenBlue
z17.64
znorm Inf
sky -NaN -NaN -NaN
S/N 26.1 43.1 43.5
S/N(c) 0.0 0.0 0.0
SN(E/C) 0.54

IPAIRNAMESHIFTNEWSHIFTS/N NAMESHIFTNEWSHIFTS/N
0 12430028 0.490315 0.00000 18.9038 12430029 -0.00348605 0.493801 18.9718
1 12430024 0.489137 0.00117800 18.8432 12430025 -0.00475361 0.495069 18.8099
2 12430027 0.489867 0.000447989 18.8226 12430026 -0.00361536 0.493930 18.7926
3 12430023 0.488641 0.00167400 18.6700 12430022 0.00000 0.490315 18.5819