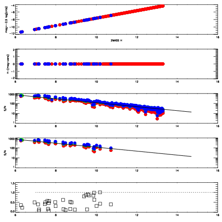
Left plots: red are targets, blue are telluric. Observed mags are calculated from median value of green chip. Zeropoint gives overall throughput: bigger number is more throughput.
First spatial plots: circles are objects, squares are tellurics, crosses are sky fibers. Colors give deviation of observed mag from expected 2MASS mag using the median zeropoint; red is brighter
Second spatial plots: circles are sky fibers. Colors give sky line brightness relative to plate median sky line brightness
FrameNreadsZeropointsMag plots Spatial mag deviation Spatial sky 16325A emission deviations (filled: sky, open: star) Spatial sky continuum emission Spatial sky telluric CO2 absorption deviations (filled: H < 10)
0 0
RedGreenBlue
z17.64
znorm Inf
sky -NaN -NaN -Inf
S/N 29.8 47.5 46.0
S/N(c) 0.0 0.0 0.0
SN(E/C) 0.46

IPAIRNAMESHIFTNEWSHIFTS/N NAMESHIFTNEWSHIFTS/N
0 12190067 0.502431 0.00000 19.1049 12190070 -0.000326508 0.502757 19.1426
1 12190071 0.500623 0.00180799 19.1686 12190073 -0.00158185 0.504013 19.1796
2 12190072 0.501616 0.000814974 19.1641 12190069 -0.000865651 0.503297 19.1564
3 12190068 0.502366 6.49691e-05 19.1027 12190066 0.00000 0.502431 19.0919