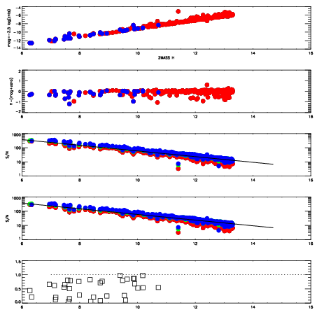
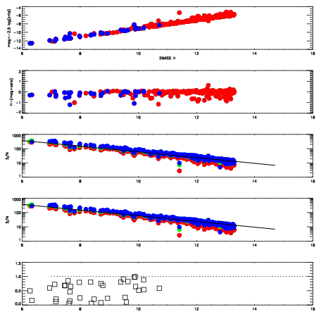
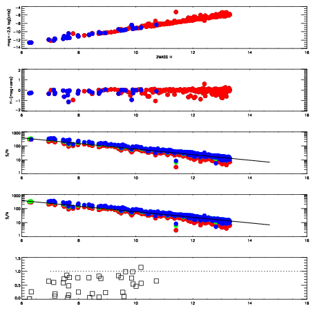
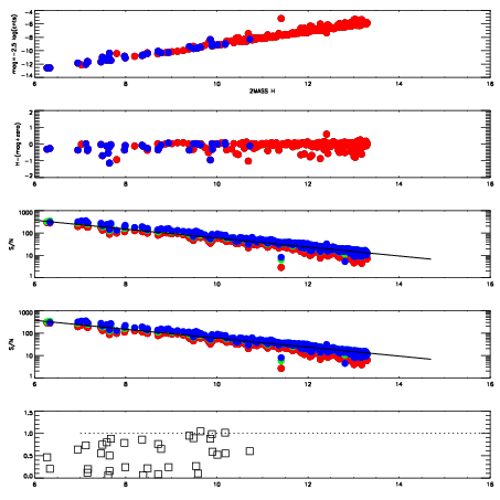
Left plots: red are targets, blue are telluric. Observed mags are calculated from median value of green chip. Zeropoint gives overall throughput: bigger number is more throughput.
First spatial plots: circles are objects, squares are tellurics, crosses are sky fibers. Colors give deviation of observed mag from expected 2MASS mag using the median zeropoint; red is brighter
Second spatial plots: circles are sky fibers. Colors give sky line brightness relative to plate median sky line brightness
FrameNreadsZeropointsMag plots Spatial mag deviation Spatial sky 16325A emission deviations (filled: sky, open: star) Spatial sky continuum emission Spatial sky telluric CO2 absorption deviations (filled: H < 10)
12250081 47
RedGreenBlue
z19.13
znorm14.95
sky 14.7 14.5 14.6
S/N 17.4 26.9 26.6
S/N(c) 13.4 5.5 9.6
SN(E/C) 0.59
12250082 47
RedGreenBlue
z19.18
znorm15.00
sky 14.7 14.5 14.8
S/N 17.5 27.2 27.2
S/N(c) 13.6 5.6 9.8
SN(E/C) 0.59
12250083 47
RedGreenBlue
z19.16
znorm14.98
sky 14.8 14.5 14.7
S/N 17.4 26.9 27.0
S/N(c) 13.4 5.6 9.8
SN(E/C) 0.59
12250084 47
RedGreenBlue
z19.17
znorm14.99
sky 14.6 14.5 14.7
S/N 17.3 27.0 27.1
S/N(c) 13.4 5.6 9.9
SN(E/C) 0.56