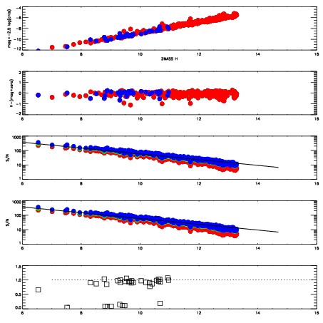
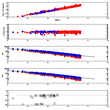
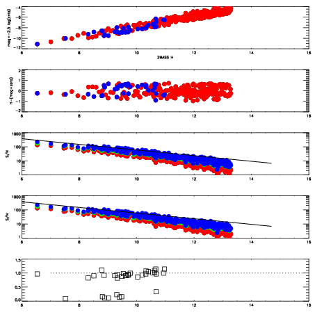
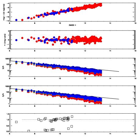
Frame | Nreads | Zeropoints | Mag plots
| Spatial mag deviation
| Spatial sky 16325A emission deviations (filled: sky, open: star)
| Spatial sky continuum emission
| Spatial sky telluric CO2 absorption deviations (filled: H < 10)
|
5180066
| 47
| | Red | Green | Blue
| z | | 18.97
| znorm | | 14.79
| sky | 14.5 | 14.2 | 14.4
| S/N | 14.4 | 23.0 | 24.4
| S/N(c) | 7.5 | 34.8 | 39.4
| SN(E/C) | 0.93
|
|
|
|
|
|
|
5180067
| 47
| | Red | Green | Blue
| z | | 18.20
| znorm | | 14.02
| sky | 14.5 | 14.3 | 14.8
| S/N | 8.0 | 14.7 | 16.0
| S/N(c) | 4.6 | 23.1 | 26.3
| SN(E/C) | 1.02
|
|
|
|
|
|
|
5180068
| 47
| | Red | Green | Blue
| z | | 18.90
| znorm | | 14.72
| sky | 14.5 | 14.3 | 14.6
| S/N | 13.9 | 22.5 | 23.9
| S/N(c) | 7.4 | 34.1 | 38.7
| SN(E/C) | 0.91
|
|
|
|
|
|
|
5180069
| 47
| | Red | Green | Blue
| z | | 18.01
| znorm | | 13.83
| sky | 14.6 | 14.4 | 14.6
| S/N | 6.6 | 12.3 | 14.0
| S/N(c) | 4.2 | 21.0 | 25.3
| SN(E/C) | 0.97
|
|
|
|
|
|
|
5180070
| 47
| | Red | Green | Blue
| z | | 17.87
| znorm | | 13.69
| sky | 14.6 | 14.5 | 14.7
| S/N | 5.9 | 11.1 | 12.2
| S/N(c) | 3.9 | 20.3 | 22.6
| SN(E/C) | 0.92
|
|
|
|
|
|
|
5180071
| 47
| | Red | Green | Blue
| z | | 15.42
| znorm | | 11.24
| sky | 14.4 | 14.5 | 14.7
| S/N | 0.4 | 0.9 | 2.8
| S/N(c) | 0.3 | 2.2 | 3.7
| SN(E/C) | 1.02
|
|
|
|
|
|
|
5180072
| 47
| | Red | Green | Blue
| z | | 18.99
| znorm | | 14.81
| sky | 14.3 | 14.5 | 14.6
| S/N | 14.0 | 23.9 | 25.3
| S/N(c) | 7.7 | 35.2 | 40.2
| SN(E/C) | 0.93
|
|
|
|
|
|
|
5180073
| 47
| | Red | Green | Blue
| z | | 18.93
| znorm | | 14.75
| sky | 14.3 | 14.4 | 14.4
| S/N | 13.1 | 22.9 | 23.9
| S/N(c) | 7.3 | 34.3 | 38.7
| SN(E/C) | 0.95
|
|
|
|
|
|
|