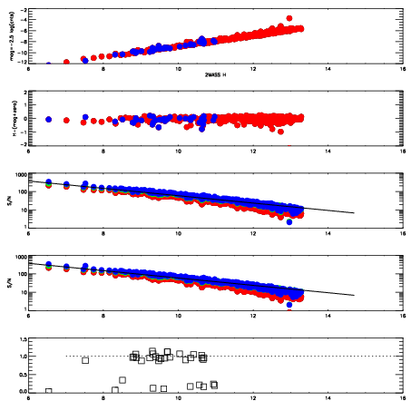
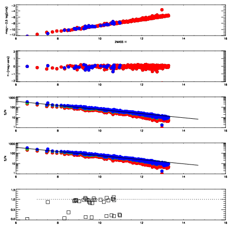
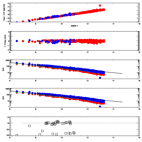
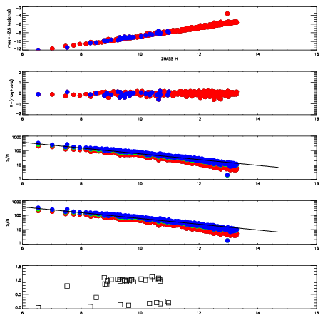
Frame | Nreads | Zeropoints | Mag plots
| Spatial mag deviation
| Spatial sky 16325A emission deviations (filled: sky, open: star)
| Spatial sky continuum emission
| Spatial sky telluric CO2 absorption deviations (filled: H < 10)
|
9090022
| 47
| | Red | Green | Blue
| z | | 18.89
| znorm | | 14.71
| sky | 14.7 | 14.2 | 14.4
| S/N | 14.0 | 22.8 | 23.7
| S/N(c) | 19.9 | 21.5 | 12.2
| SN(E/C) | 0.95
|
|
|
|
|
|
|
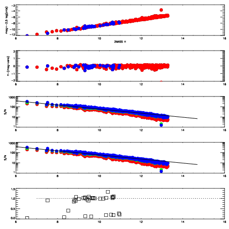
9090023
| 47
| | Red | Green | Blue
| z | | 18.79
| znorm | | 14.61
| sky | 14.3 | 14.2 | 14.6
| S/N | 13.5 | 21.5 | 22.8
| S/N(c) | 19.2 | 20.9 | 12.1
| SN(E/C) | 0.94
|
|
|
|
|
|
|
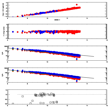
9090024
| 47
| | Red | Green | Blue
| z | | 18.76
| znorm | | 14.58
| sky | 14.2 | 14.3 | 14.6
| S/N | 13.1 | 21.1 | 22.6
| S/N(c) | 18.7 | 20.5 | 11.8
| SN(E/C) | 0.94
|
|
|
|
|
|
|
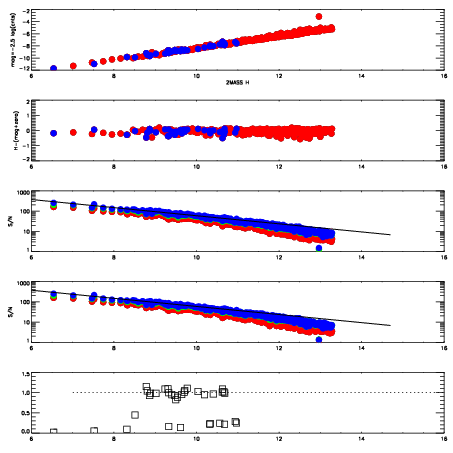
9090025
| 47
| | Red | Green | Blue
| z | | 18.43
| znorm | | 14.25
| sky | 13.9 | 13.9 | 14.1
| S/N | 9.9 | 16.1 | 17.6
| S/N(c) | 15.0 | 17.4 | 10.0
| SN(E/C) | 0.95
|
|
|
|
|
|
|
9090026
| 47
| | Red | Green | Blue
| z | | 18.80
| znorm | | 14.62
| sky | 14.2 | 14.2 | 14.6
| S/N | 12.9 | 21.7 | 22.8
| S/N(c) | 19.9 | 21.0 | 12.4
| SN(E/C) | 0.97
|
|
|
|
|
|
|
9090027
| 47
| | Red | Green | Blue
| z | | 18.81
| znorm | | 14.63
| sky | 14.2 | 14.3 | 14.5
| S/N | 13.5 | 21.4 | 23.3
| S/N(c) | 19.6 | 20.9 | 12.3
| SN(E/C) | 0.97
|
|
|
|
|
|
|
9090028
| 47
| | Red | Green | Blue
| z | | 18.94
| znorm | | 14.76
| sky | 14.3 | 14.4 | 14.7
| S/N | 15.0 | 23.3 | 25.1
| S/N(c) | 20.4 | 22.1 | 13.0
| SN(E/C) | 0.91
|
|
|
|
|
|
|
9090029
| 47
| | Red | Green | Blue
| z | | 18.80
| znorm | | 14.62
| sky | 14.1 | 14.2 | 14.3
| S/N | 13.1 | 21.0 | 22.7
| S/N(c) | 19.0 | 20.5 | 11.9
| SN(E/C) | 0.99
|
|
|
|
|
|
|