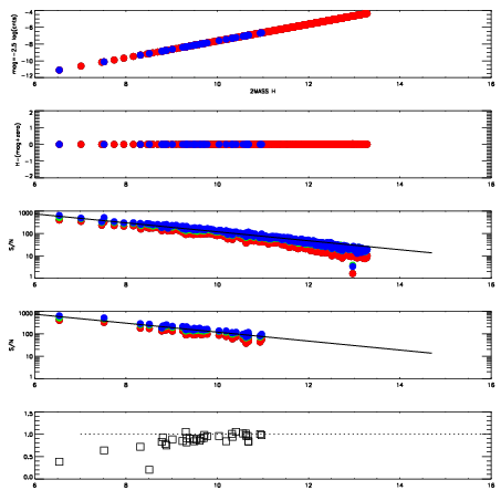
Left plots: red are targets, blue are telluric. Observed mags are calculated from median value of green chip. Zeropoint gives overall throughput: bigger number is more throughput.
First spatial plots: circles are objects, squares are tellurics, crosses are sky fibers. Colors give deviation of observed mag from expected 2MASS mag using the median zeropoint; red is brighter
Second spatial plots: circles are sky fibers. Colors give sky line brightness relative to plate median sky line brightness
FrameNreadsZeropointsMag plots Spatial mag deviation Spatial sky 16325A emission deviations (filled: sky, open: star) Spatial sky continuum emission Spatial sky telluric CO2 absorption deviations (filled: H < 10)
0 0
RedGreenBlue
z17.64
znorm Inf
sky -Inf -Inf -NaN
S/N 22.9 39.0 42.5
S/N(c) 0.0 0.0 0.0
SN(E/C) 0.90

IPAIRNAMESHIFTNEWSHIFTS/N NAMESHIFTNEWSHIFTS/N
0 09090028 0.485061 0.00000 18.9202 09090022 0.00000 0.485061 18.8651
1 09090027 0.484909 0.000151992 18.8036 09090026 0.00524671 0.479814 18.7865
2 09090023 0.483734 0.00132698 18.7722 09090029 0.00509726 0.479964 18.7737
3 09090024 0.483523 0.00153798 18.7445 09090025 0.00428516 0.480776 18.4039