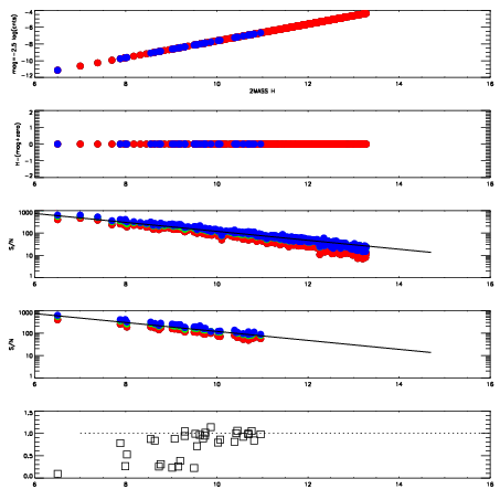
Left plots: red are targets, blue are telluric. Observed mags are calculated from median value of green chip. Zeropoint gives overall throughput: bigger number is more throughput.
First spatial plots: circles are objects, squares are tellurics, crosses are sky fibers. Colors give deviation of observed mag from expected 2MASS mag using the median zeropoint; red is brighter
Second spatial plots: circles are sky fibers. Colors give sky line brightness relative to plate median sky line brightness
FrameNreadsZeropointsMag plots Spatial mag deviation Spatial sky 16325A emission deviations (filled: sky, open: star) Spatial sky continuum emission Spatial sky telluric CO2 absorption deviations (filled: H < 10)
0 0
RedGreenBlue
z17.64
znorm Inf
sky -NaN -NaN -NaN
S/N 25.8 44.8 47.0
S/N(c) 0.0 0.0 0.0
SN(E/C) 0.88

IPAIRNAMESHIFTNEWSHIFTS/N NAMESHIFTNEWSHIFTS/N
0 12170028 0.495231 0.00000 18.9614 12170029 -0.00395583 0.499187 18.9836
1 12170024 0.493860 0.00137100 18.8849 12170026 -0.00344336 0.498674 18.9402
2 12170027 0.494233 0.000997990 18.8810 12170025 -0.00352174 0.498753 18.9067
3 12170023 0.493289 0.00194201 18.8481 12170022 0.00000 0.495231 18.8212