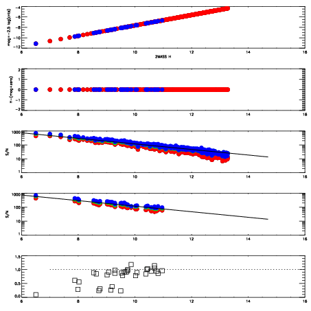
Left plots: red are targets, blue are telluric. Observed mags are calculated from median value of green chip. Zeropoint gives overall throughput: bigger number is more throughput.
First spatial plots: circles are objects, squares are tellurics, crosses are sky fibers. Colors give deviation of observed mag from expected 2MASS mag using the median zeropoint; red is brighter
Second spatial plots: circles are sky fibers. Colors give sky line brightness relative to plate median sky line brightness
FrameNreadsZeropointsMag plots Spatial mag deviation Spatial sky 16325A emission deviations (filled: sky, open: star) Spatial sky continuum emission Spatial sky telluric CO2 absorption deviations (filled: H < 10)
0 0
RedGreenBlue
z17.64
znorm Inf
sky -NaN -NaN -NaN
S/N 26.5 45.4 49.0
S/N(c) 0.0 0.0 0.0
SN(E/C) 0.89

IPAIRNAMESHIFTNEWSHIFTS/N NAMESHIFTNEWSHIFTS/N
0 12210028 0.512623 0.00000 18.8704 12210026 0.00000 0.512623 18.6932
1 12210032 0.509590 0.00303298 18.9869 12210033 -0.00200640 0.514629 19.0302
2 12210031 0.509507 0.00311601 18.9750 12210029 0.000206561 0.512416 18.9739
3 12210027 0.512105 0.000518024 18.9127 12210030 0.000410698 0.512212 18.9686