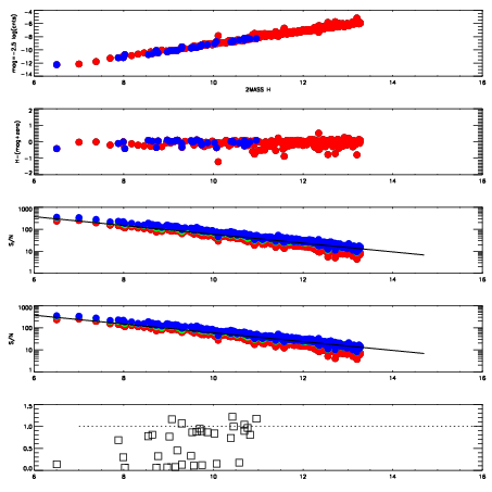
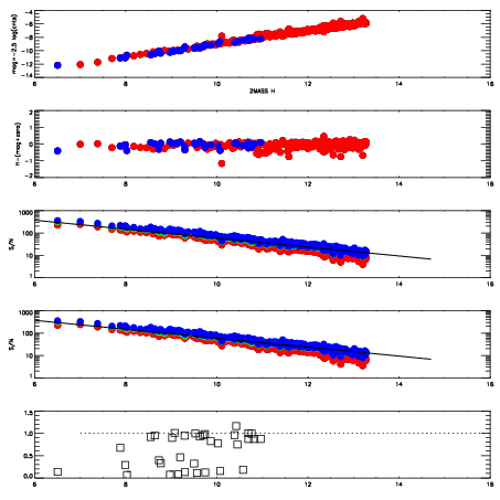
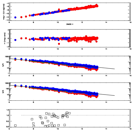
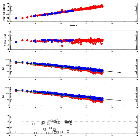
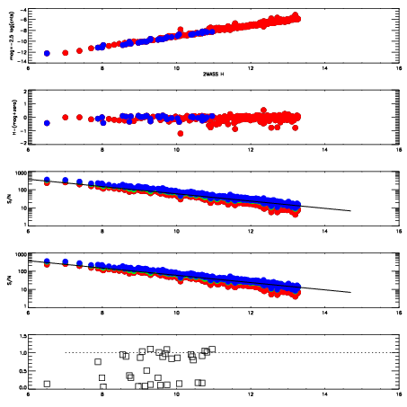
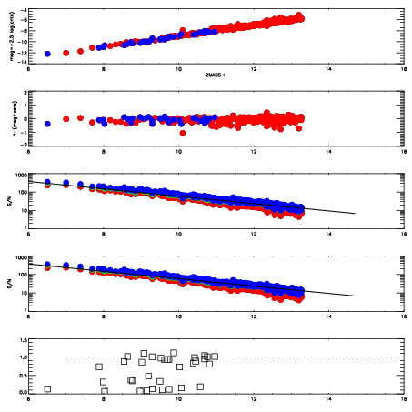
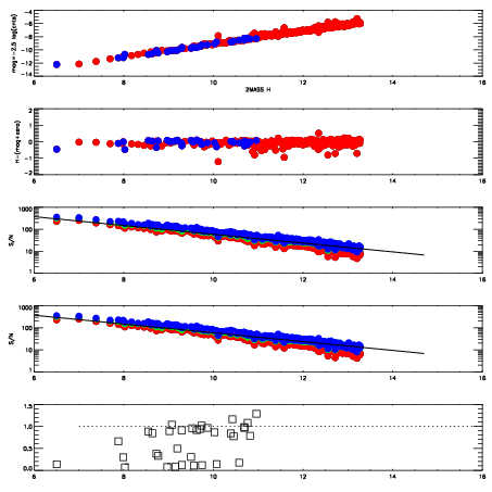
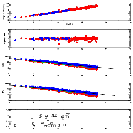
Frame | Nreads | Zeropoints | Mag plots
| Spatial mag deviation
| Spatial sky 16325A emission deviations (filled: sky, open: star)
| Spatial sky continuum emission
| Spatial sky telluric CO2 absorption deviations (filled: H < 10)
|
12250070
| 47
| | Red | Green | Blue
| z | | 19.06
| znorm | | 14.88
| sky | 14.8 | 14.7 | 14.5
| S/N | 16.1 | 26.3 | 27.7
| S/N(c) | 4.5 | 31.6 | 39.1
| SN(E/C) | 0.81
|
|
|
|
|
|
|
12250071
| 47
| | Red | Green | Blue
| z | | 19.08
| znorm | | 14.90
| sky | 14.8 | 14.6 | 14.8
| S/N | 16.3 | 26.4 | 28.3
| S/N(c) | 4.5 | 31.7 | 39.7
| SN(E/C) | 0.79
|
|
|
|
|
|
|
12250072
| 47
| | Red | Green | Blue
| z | | 19.08
| znorm | | 14.90
| sky | 14.7 | 14.7 | 14.8
| S/N | 16.3 | 26.8 | 28.2
| S/N(c) | 4.5 | 31.6 | 40.6
| SN(E/C) | 0.77
|
|
|
|
|
|
|
12250073
| 47
| | Red | Green | Blue
| z | | 19.08
| znorm | | 14.90
| sky | 15.2 | 14.8 | 15.0
| S/N | 16.0 | 26.5 | 28.3
| S/N(c) | 4.4 | 31.5 | 40.9
| SN(E/C) | 0.81
|
|
|
|
|
|
|
12250074
| 47
| | Red | Green | Blue
| z | | 19.17
| znorm | | 14.99
| sky | 14.8 | 14.7 | 14.8
| S/N | 17.0 | 27.8 | 29.6
| S/N(c) | 4.6 | 33.1 | 42.5
| SN(E/C) | 0.76
|
|
|
|
|
|
|
12250075
| 47
| | Red | Green | Blue
| z | | 19.15
| znorm | | 14.97
| sky | 14.6 | 14.6 | 14.7
| S/N | 16.7 | 27.3 | 29.2
| S/N(c) | 4.6 | 32.9 | 42.3
| SN(E/C) | 0.80
|
|
|
|
|
|
|
12250076
| 47
| | Red | Green | Blue
| z | | 19.17
| znorm | | 14.99
| sky | 14.7 | 14.7 | 14.9
| S/N | 17.1 | 27.7 | 29.6
| S/N(c) | 4.6 | 32.9 | 42.7
| SN(E/C) | 0.82
|
|
|
|
|
|
|
12250077
| 47
| | Red | Green | Blue
| z | | 19.17
| znorm | | 14.99
| sky | 14.8 | 14.7 | 14.8
| S/N | 17.0 | 27.7 | 29.2
| S/N(c) | 4.6 | 32.9 | 42.9
| SN(E/C) | 0.78
|
|
|
|
|
|
|