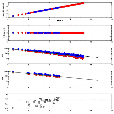
Left plots: red are targets, blue are telluric. Observed mags are calculated from median value of green chip. Zeropoint gives overall throughput: bigger number is more throughput.
First spatial plots: circles are objects, squares are tellurics, crosses are sky fibers. Colors give deviation of observed mag from expected 2MASS mag using the median zeropoint; red is brighter
Second spatial plots: circles are sky fibers. Colors give sky line brightness relative to plate median sky line brightness
FrameNreadsZeropointsMag plots Spatial mag deviation Spatial sky 16325A emission deviations (filled: sky, open: star) Spatial sky continuum emission Spatial sky telluric CO2 absorption deviations (filled: H < 10)
0 0
RedGreenBlue
z17.64
znorm Inf
sky -Inf -Inf -Inf
S/N 30.0 50.7 54.5
S/N(c) 0.0 0.0 0.0
SN(E/C) 0.76

IPAIRNAMESHIFTNEWSHIFTS/N NAMESHIFTNEWSHIFTS/N
0 12250076 0.502468 0.00000 19.1562 12250074 5.84265e-05 0.502410 19.1556
1 12250075 0.501463 0.00100499 19.1378 12250077 0.000754172 0.501714 19.1539
2 12250071 0.498243 0.00422499 19.0607 12250073 -0.000401416 0.502869 19.0571
3 12250072 0.498301 0.00416699 19.0607 12250070 0.00000 0.502468 19.0431