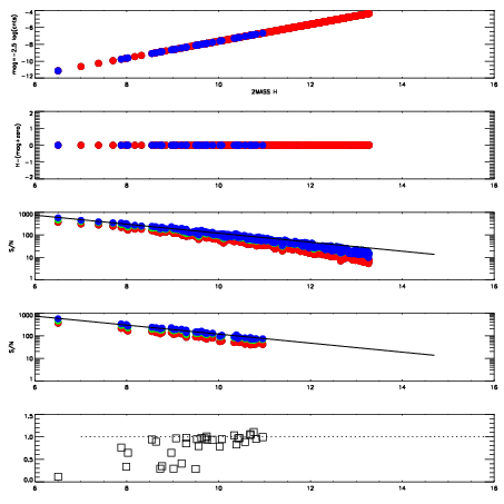
Left plots: red are targets, blue are telluric. Observed mags are calculated from median value of green chip. Zeropoint gives overall throughput: bigger number is more throughput.
First spatial plots: circles are objects, squares are tellurics, crosses are sky fibers. Colors give deviation of observed mag from expected 2MASS mag using the median zeropoint; red is brighter
Second spatial plots: circles are sky fibers. Colors give sky line brightness relative to plate median sky line brightness
FrameNreadsZeropointsMag plots Spatial mag deviation Spatial sky 16325A emission deviations (filled: sky, open: star) Spatial sky continuum emission Spatial sky telluric CO2 absorption deviations (filled: H < 10)
0 0
RedGreenBlue
z17.64
znorm Inf
sky -Inf -Inf -NaN
S/N 15.0 29.1 30.4
S/N(c) 0.0 0.0 0.0
SN(E/C) 0.93

IPAIRNAMESHIFTNEWSHIFTS/N NAMESHIFTNEWSHIFTS/N
0 12130032 0.496735 0.00000 18.1947 12130033 0.000659120 0.496076 18.3879
1 12130027 0.494241 0.00249401 18.4820 12130029 -0.000279517 0.497015 18.5365
2 12130028 0.494393 0.00234202 18.3885 12130026 0.00000 0.496735 18.5218
3 12130031 0.496396 0.000339001 18.3296 12130030 0.000763033 0.495972 18.4244