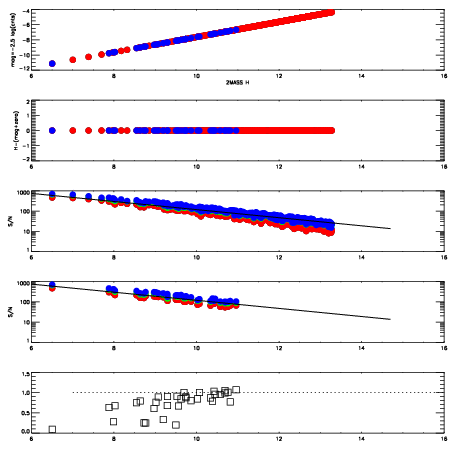
Left plots: red are targets, blue are telluric. Observed mags are calculated from median value of green chip. Zeropoint gives overall throughput: bigger number is more throughput.
First spatial plots: circles are objects, squares are tellurics, crosses are sky fibers. Colors give deviation of observed mag from expected 2MASS mag using the median zeropoint; red is brighter
Second spatial plots: circles are sky fibers. Colors give sky line brightness relative to plate median sky line brightness
FrameNreadsZeropointsMag plots Spatial mag deviation Spatial sky 16325A emission deviations (filled: sky, open: star) Spatial sky continuum emission Spatial sky telluric CO2 absorption deviations (filled: H < 10)
0 0
RedGreenBlue
z17.64
znorm Inf
sky -Inf -NaN -NaN
S/N 24.8 43.8 44.7
S/N(c) 0.0 0.0 0.0
SN(E/C) 0.84

IPAIRNAMESHIFTNEWSHIFTS/N NAMESHIFTNEWSHIFTS/N
0 12190056 0.501329 0.00000 19.0045 12190055 0.00000 0.501329 18.9476
1 12190060 0.500694 0.000635028 19.0897 12190062 -0.00308481 0.504414 19.1206
2 12190061 0.501028 0.000301003 19.0788 12190058 -0.00112540 0.502454 19.0657
3 12190057 0.500553 0.000775993 19.0273 12190059 -0.00105813 0.502387 19.0642