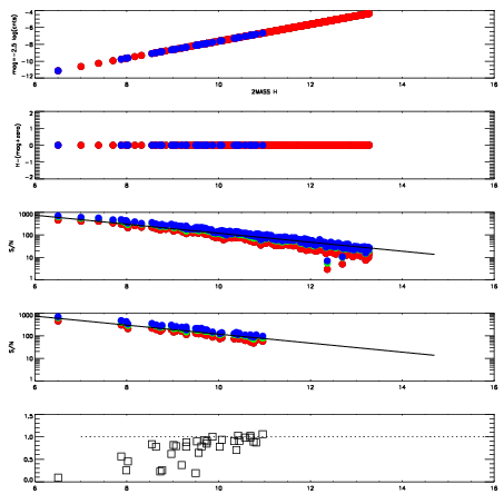
Left plots: red are targets, blue are telluric. Observed mags are calculated from median value of green chip. Zeropoint gives overall throughput: bigger number is more throughput.
First spatial plots: circles are objects, squares are tellurics, crosses are sky fibers. Colors give deviation of observed mag from expected 2MASS mag using the median zeropoint; red is brighter
Second spatial plots: circles are sky fibers. Colors give sky line brightness relative to plate median sky line brightness
FrameNreadsZeropointsMag plots Spatial mag deviation Spatial sky 16325A emission deviations (filled: sky, open: star) Spatial sky continuum emission Spatial sky telluric CO2 absorption deviations (filled: H < 10)
0 0
RedGreenBlue
z17.64
znorm Inf
sky -NaN -NaN -Inf
S/N 22.6 39.0 42.2
S/N(c) 0.0 0.0 0.0
SN(E/C) 0.83

IPAIRNAMESHIFTNEWSHIFTS/N NAMESHIFTNEWSHIFTS/N
0 12310067 0.491741 0.00000 19.0245 12310066 0.00000 0.491741 18.9439
1 12310071 0.490429 0.00131199 19.1026 12310069 1.43265e-05 0.491727 19.1484
2 12310068 0.491696 4.50015e-05 19.0899 12310070 0.000543702 0.491197 19.1462
3 12310072 0.490667 0.00107402 19.0269 12310073 -0.00310006 0.494841 18.9497