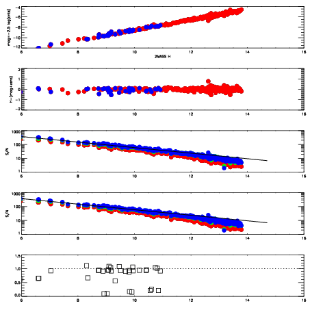
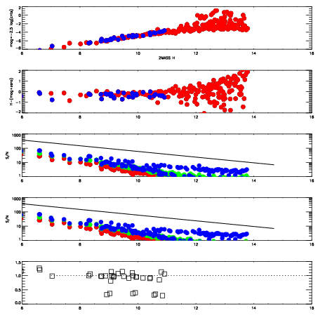
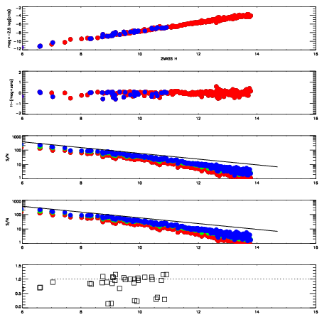
Left plots: red are targets, blue are telluric. Observed mags are calculated from median value of green chip. Zeropoint gives overall throughput: bigger number is more throughput.
First spatial plots: circles are objects, squares are tellurics, crosses are sky fibers. Colors give deviation of observed mag from expected 2MASS mag using the median zeropoint; red is brighter
Second spatial plots: circles are sky fibers. Colors give sky line brightness relative to plate median sky line brightness
FrameNreadsZeropointsMag plots Spatial mag deviation Spatial sky 16325A emission deviations (filled: sky, open: star) Spatial sky continuum emission Spatial sky telluric CO2 absorption deviations (filled: H < 10)
2540027 47
RedGreenBlue
z18.58
znorm14.40
sky 13.9 13.8 13.7
S/N 10.9 18.5 18.4
S/N(c) 5.9 28.0 2.0
SN(E/C) 0.92
2540028 47
RedGreenBlue
z17.71
znorm13.52
sky 13.1 13.1 13.2
S/N 4.8 8.9 9.9
S/N(c) 3.1 15.8 1.2
SN(E/C) 0.89
2540029 47
RedGreenBlue
z15.06
znorm10.88
sky 12.3 12.3 12.3
S/N 0.4 0.8 0.8
S/N(c) 0.2 1.4 0.2
SN(E/C) 0.97
2540030 47
RedGreenBlue
z14.69
znorm10.51
sky 12.1 12.1 12.1
S/N 0.4 0.5 0.3
S/N(c) 0.1 0.7 0.1
SN(E/C) 0.99