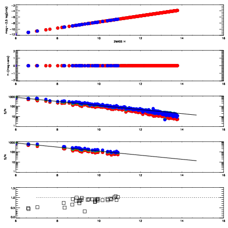
Left plots: red are targets, blue are telluric. Observed mags are calculated from median value of green chip. Zeropoint gives overall throughput: bigger number is more throughput.
First spatial plots: circles are objects, squares are tellurics, crosses are sky fibers. Colors give deviation of observed mag from expected 2MASS mag using the median zeropoint; red is brighter
Second spatial plots: circles are sky fibers. Colors give sky line brightness relative to plate median sky line brightness
FrameNreadsZeropointsMag plots Spatial mag deviation Spatial sky 16325A emission deviations (filled: sky, open: star) Spatial sky continuum emission Spatial sky telluric CO2 absorption deviations (filled: H < 10)
0 0
RedGreenBlue
z17.64
znorm Inf
sky -Inf -Inf -NaN
S/N 24.6 42.5 43.4
S/N(c) 0.0 0.0 0.0
SN(E/C) 0.88

IPAIRNAMESHIFTNEWSHIFTS/N NAMESHIFTNEWSHIFTS/N
0 02600013 0.420954 0.00000 18.8540 02600018 0.00482282 0.416131 18.8592
1 02600016 0.419490 0.00146398 18.9825 02600015 -0.00113025 0.422084 18.9422
2 02600017 0.419172 0.00178200 18.9077 02600014 0.00282571 0.418128 18.8960
3 02600012 0.419956 0.000997990 18.8351 02600011 0.00000 0.420954 18.8385