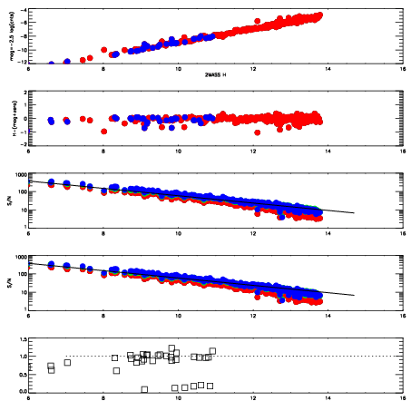
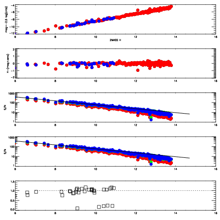
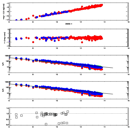
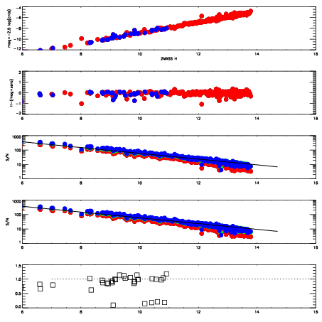
Left plots: red are targets, blue are telluric. Observed mags are calculated from median value of green chip. Zeropoint gives overall throughput: bigger number is more throughput.
First spatial plots: circles are objects, squares are tellurics, crosses are sky fibers. Colors give deviation of observed mag from expected 2MASS mag using the median zeropoint; red is brighter
Second spatial plots: circles are sky fibers. Colors give sky line brightness relative to plate median sky line brightness
FrameNreadsZeropointsMag plots Spatial mag deviation Spatial sky 16325A emission deviations (filled: sky, open: star) Spatial sky continuum emission Spatial sky telluric CO2 absorption deviations (filled: H < 10)
5010011 47
RedGreenBlue
z18.92
znorm14.74
sky 15.0 15.1 14.9
S/N 15.5 24.4 24.8
S/N(c) 8.0 36.8 10.7
SN(E/C) 0.91
5010012 47
RedGreenBlue
z18.91
znorm14.73
sky 15.4 15.2 15.4
S/N 15.4 24.7 25.6
S/N(c) 7.9 36.8 10.7
SN(E/C) 0.93
5010013 47
RedGreenBlue
z18.55
znorm14.37
sky 15.2 15.1 15.4
S/N 12.0 20.8 21.1
S/N(c) 6.7 31.3 8.9
SN(E/C) 0.96
5010014 47
RedGreenBlue
z18.96
znorm14.78
sky 14.8 15.0 15.2
S/N 15.8 25.9 26.7
S/N(c) 8.1 37.8 10.8
SN(E/C) 0.93