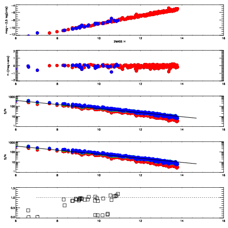
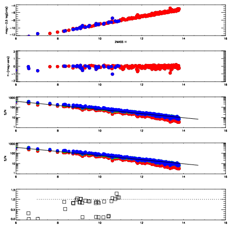
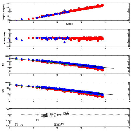
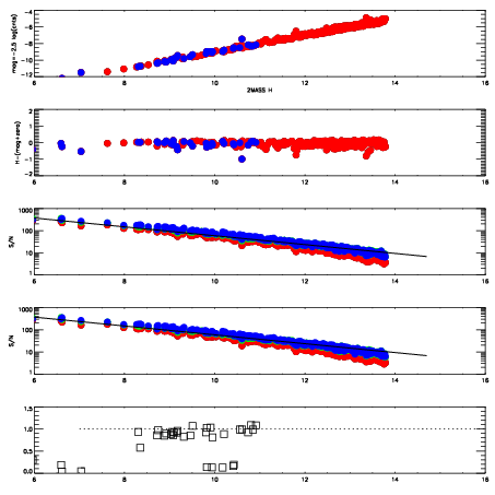
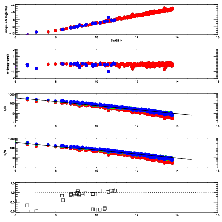
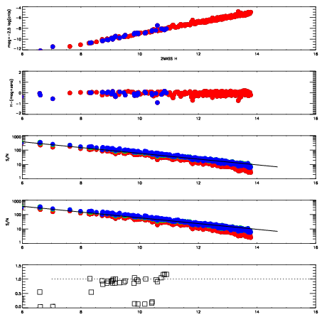
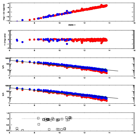
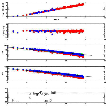
Frame | Nreads | Zeropoints | Mag plots
| Spatial mag deviation
| Spatial sky 16325A emission deviations (filled: sky, open: star)
| Spatial sky continuum emission
| Spatial sky telluric CO2 absorption deviations (filled: H < 10)
|
5170024
| 47
| | Red | Green | Blue
| z | | 19.03
| znorm | | 14.85
| sky | 14.6 | 14.6 | 14.5
| S/N | 14.7 | 23.6 | 24.7
| S/N(c) | 33.6 | 23.7 | 30.6
| SN(E/C) | 0.86
|
|
|
|
|
|
|
5170025
| 47
| | Red | Green | Blue
| z | | 19.05
| znorm | | 14.87
| sky | 14.7 | 14.8 | 14.9
| S/N | 15.1 | 24.3 | 25.9
| S/N(c) | 34.1 | 24.2 | 31.5
| SN(E/C) | 0.90
|
|
|
|
|
|
|
5170026
| 47
| | Red | Green | Blue
| z | | 18.99
| znorm | | 14.81
| sky | 14.8 | 14.7 | 14.9
| S/N | 13.6 | 22.4 | 24.2
| S/N(c) | 32.4 | 23.4 | 29.9
| SN(E/C) | 0.91
|
|
|
|
|
|
|
5170027
| 47
| | Red | Green | Blue
| z | | 19.00
| znorm | | 14.82
| sky | 14.7 | 15.0 | 15.0
| S/N | 13.8 | 22.9 | 24.6
| S/N(c) | 32.9 | 23.4 | 30.7
| SN(E/C) | 0.90
|
|
|
|
|
|
|
5170028
| 47
| | Red | Green | Blue
| z | | 19.00
| znorm | | 14.82
| sky | 14.8 | 14.9 | 15.1
| S/N | 13.4 | 22.6 | 24.1
| S/N(c) | 32.8 | 23.3 | 31.1
| SN(E/C) | 0.92
|
|
|
|
|
|
|
5170029
| 47
| | Red | Green | Blue
| z | | 19.06
| znorm | | 14.88
| sky | 14.7 | 15.0 | 14.9
| S/N | 13.7 | 22.3 | 24.4
| S/N(c) | 33.4 | 23.8 | 31.8
| SN(E/C) | 0.88
|
|
|
|
|
|
|
5170030
| 47
| | Red | Green | Blue
| z | | 19.09
| znorm | | 14.91
| sky | 14.6 | 14.9 | 15.0
| S/N | 13.7 | 22.5 | 24.3
| S/N(c) | 34.1 | 24.4 | 32.3
| SN(E/C) | 0.91
|
|
|
|
|
|
|
5170031
| 47
| | Red | Green | Blue
| z | | 19.10
| znorm | | 14.92
| sky | 14.7 | 14.8 | 15.0
| S/N | 13.6 | 22.5 | 24.5
| S/N(c) | 34.7 | 24.9 | 32.9
| SN(E/C) | 0.85
|
|
|
|
|
|
|