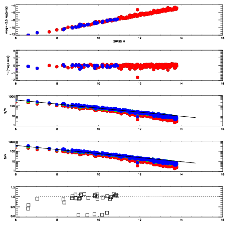
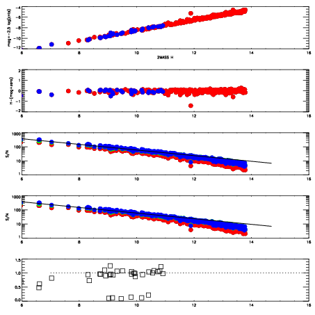
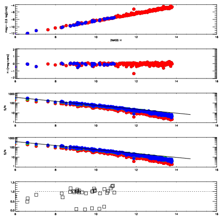
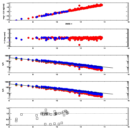
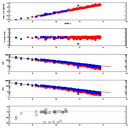
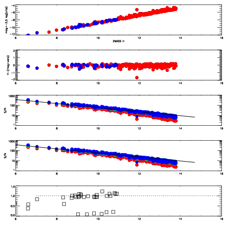
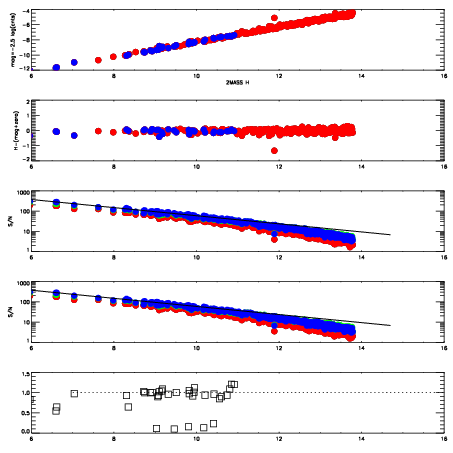
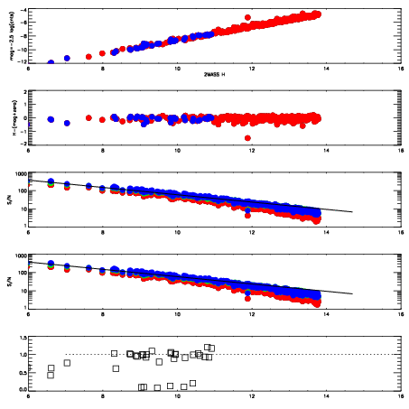
Frame | Nreads | Zeropoints | Mag plots
| Spatial mag deviation
| Spatial sky 16325A emission deviations (filled: sky, open: star)
| Spatial sky continuum emission
| Spatial sky telluric CO2 absorption deviations (filled: H < 10)
|
5210070
| 47
| | Red | Green | Blue
| z | | 18.33
| znorm | | 14.15
| sky | 14.8 | 14.4 | 14.4
| S/N | 8.7 | 15.3 | 14.5
| S/N(c) | 15.5 | 16.9 | 22.3
| SN(E/C) | 0.96
|
|
|
|
|
|
|
5210071
| 47
| | Red | Green | Blue
| z | | 18.45
| znorm | | 14.27
| sky | 14.7 | 14.5 | 14.7
| S/N | 9.3 | 16.3 | 16.1
| S/N(c) | 16.6 | 18.0 | 24.0
| SN(E/C) | 0.97
|
|
|
|
|
|
|
5210072
| 47
| | Red | Green | Blue
| z | | 18.58
| znorm | | 14.40
| sky | 14.6 | 14.6 | 14.8
| S/N | 10.4 | 17.5 | 17.6
| S/N(c) | 18.1 | 19.3 | 26.2
| SN(E/C) | 0.95
|
|
|
|
|
|
|
5210073
| 47
| | Red | Green | Blue
| z | | 18.74
| znorm | | 14.56
| sky | 14.8 | 14.7 | 14.8
| S/N | 11.2 | 18.7 | 19.5
| S/N(c) | 19.8 | 20.4 | 27.6
| SN(E/C) | 0.97
|
|
|
|
|
|
|
5210074
| 47
| | Red | Green | Blue
| z | | 18.83
| znorm | | 14.65
| sky | 14.9 | 14.7 | 14.7
| S/N | 11.8 | 19.6 | 20.2
| S/N(c) | 20.4 | 21.4 | 28.8
| SN(E/C) | 0.95
|
|
|
|
|
|
|
5210075
| 47
| | Red | Green | Blue
| z | | 18.67
| znorm | | 14.49
| sky | 14.6 | 14.5 | 14.6
| S/N | 11.1 | 18.8 | 18.6
| S/N(c) | 18.9 | 19.8 | 26.9
| SN(E/C) | 0.95
|
|
|
|
|
|
|
5210076
| 47
| | Red | Green | Blue
| z | | 18.75
| znorm | | 14.57
| sky | 14.6 | 14.6 | 14.7
| S/N | 11.5 | 19.7 | 19.4
| S/N(c) | 19.7 | 20.7 | 27.9
| SN(E/C) | 0.93
|
|
|
|
|
|
|
5210077
| 47
| | Red | Green | Blue
| z | | 18.85
| znorm | | 14.67
| sky | 14.6 | 14.5 | 14.6
| S/N | 12.4 | 20.6 | 20.5
| S/N(c) | 21.0 | 21.8 | 28.9
| SN(E/C) | 0.95
|
|
|
|
|
|
|