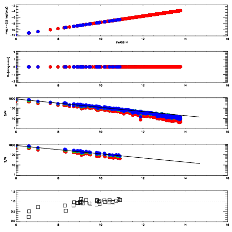
Left plots: red are targets, blue are telluric. Observed mags are calculated from median value of green chip. Zeropoint gives overall throughput: bigger number is more throughput.
First spatial plots: circles are objects, squares are tellurics, crosses are sky fibers. Colors give deviation of observed mag from expected 2MASS mag using the median zeropoint; red is brighter
Second spatial plots: circles are sky fibers. Colors give sky line brightness relative to plate median sky line brightness
FrameNreadsZeropointsMag plots Spatial mag deviation Spatial sky 16325A emission deviations (filled: sky, open: star) Spatial sky continuum emission Spatial sky telluric CO2 absorption deviations (filled: H < 10)
0 0
RedGreenBlue
z17.64
znorm Inf
sky -Inf -Inf -Inf
S/N 18.8 32.9 33.8
S/N(c) 0.0 0.0 0.0
SN(E/C) 0.94

IPAIRNAMESHIFTNEWSHIFTS/N NAMESHIFTNEWSHIFTS/N
0 05210072 0.493974 0.00000 18.5600 05210073 -0.00356355 0.497538 18.7066
1 05210076 0.490644 0.00332999 18.7195 05210077 -0.00424219 0.498216 18.8181
2 05210075 0.490045 0.00392899 18.6425 05210074 -0.00396432 0.497938 18.7850
3 05210071 0.492626 0.00134799 18.4211 05210070 0.00000 0.493974 18.3179