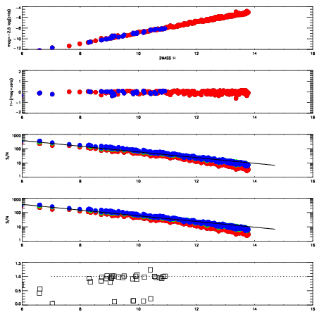
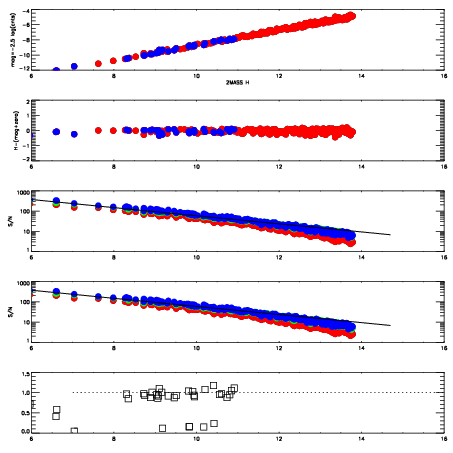
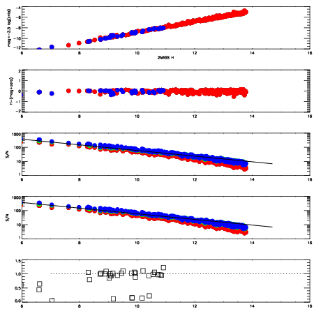
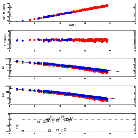
Frame | Nreads | Zeropoints | Mag plots
| Spatial mag deviation
| Spatial sky 16325A emission deviations (filled: sky, open: star)
| Spatial sky continuum emission
| Spatial sky telluric CO2 absorption deviations (filled: H < 10)
|
6060010
| 47
| | Red | Green | Blue
| z | | 19.03
| znorm | | 14.85
| sky | 14.4 | 14.3 | 14.2
| S/N | 14.6 | 23.5 | 23.1
| S/N(c) | 12.7 | 45.4 | 16.5
| SN(E/C) | 0.88
|
|
|
|
|
|
|
6060011
| 47
| | Red | Green | Blue
| z | | 18.98
| znorm | | 14.80
| sky | 14.5 | 14.4 | 14.5
| S/N | 13.6 | 22.2 | 22.5
| S/N(c) | 12.2 | 43.8 | 16.3
| SN(E/C) | 0.92
|
|
|
|
|
|
|
6060012
| 47
| | Red | Green | Blue
| z | | 18.86
| znorm | | 14.68
| sky | 14.5 | 14.5 | 14.5
| S/N | 12.9 | 20.7 | 21.1
| S/N(c) | 11.3 | 41.6 | 15.1
| SN(E/C) | 0.98
|
|
|
|
|
|
|
6060013
| 47
| | Red | Green | Blue
| z | | 18.88
| znorm | | 14.70
| sky | 14.5 | 14.4 | 14.6
| S/N | 12.7 | 20.8 | 21.1
| S/N(c) | 11.4 | 41.6 | 15.5
| SN(E/C) | 0.96
|
|
|
|
|
|
|
6060014
| 47
| | Red | Green | Blue
| z | | 18.95
| znorm | | 14.77
| sky | 14.5 | 14.4 | 14.5
| S/N | 13.6 | 22.1 | 22.9
| S/N(c) | 11.9 | 43.6 | 15.6
| SN(E/C) | 0.94
|
|
|
|
|
|
|
6060015
| 47
| | Red | Green | Blue
| z | | 18.98
| znorm | | 14.80
| sky | 14.6 | 14.4 | 14.5
| S/N | 13.4 | 22.2 | 22.8
| S/N(c) | 12.0 | 44.1 | 15.9
| SN(E/C) | 0.90
|
|
|
|
|
|
|
6060016
| 47
| | Red | Green | Blue
| z | | 18.76
| znorm | | 14.58
| sky | 14.5 | 14.4 | 14.5
| S/N | 11.8 | 19.3 | 20.0
| S/N(c) | 10.5 | 39.4 | 14.1
| SN(E/C) | 0.93
|
|
|
|
|
|
|
6060017
| 47
| | Red | Green | Blue
| z | | 18.93
| znorm | | 14.75
| sky | 14.5 | 14.4 | 14.4
| S/N | 13.1 | 21.7 | 21.8
| S/N(c) | 11.8 | 43.0 | 15.6
| SN(E/C) | 0.93
|
|
|
|
|
|
|