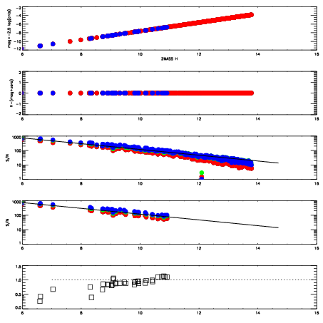
Left plots: red are targets, blue are telluric. Observed mags are calculated from median value of green chip. Zeropoint gives overall throughput: bigger number is more throughput.
First spatial plots: circles are objects, squares are tellurics, crosses are sky fibers. Colors give deviation of observed mag from expected 2MASS mag using the median zeropoint; red is brighter
Second spatial plots: circles are sky fibers. Colors give sky line brightness relative to plate median sky line brightness
FrameNreadsZeropointsMag plots Spatial mag deviation Spatial sky 16325A emission deviations (filled: sky, open: star) Spatial sky continuum emission Spatial sky telluric CO2 absorption deviations (filled: H < 10)
0 0
RedGreenBlue
z17.64
znorm Inf
sky -NaN -Inf -Inf
S/N 21.9 38.3 39.5
S/N(c) 0.0 0.0 0.0
SN(E/C) 0.89

IPAIRNAMESHIFTNEWSHIFTS/N NAMESHIFTNEWSHIFTS/N
0 06090026 0.477715 0.00000 18.9443 06090025 1.36217e-05 0.477701 18.8369
1 06090023 0.477293 0.000421971 19.0014 06090024 0.000876107 0.476839 18.9676
2 06090022 0.477285 0.000429988 18.9802 06090021 0.00000 0.477715 18.9072
3 06090027 0.477695 1.99974e-05 18.9587 06090028 0.000146395 0.477569 18.8974