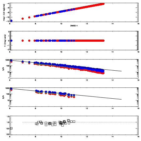
Left plots: red are targets, blue are telluric. Observed mags are calculated from median value of green chip. Zeropoint gives overall throughput: bigger number is more throughput.
First spatial plots: circles are objects, squares are tellurics, crosses are sky fibers. Colors give deviation of observed mag from expected 2MASS mag using the median zeropoint; red is brighter
Second spatial plots: circles are sky fibers. Colors give sky line brightness relative to plate median sky line brightness
FrameNreadsZeropointsMag plots Spatial mag deviation Spatial sky 16325A emission deviations (filled: sky, open: star) Spatial sky continuum emission Spatial sky telluric CO2 absorption deviations (filled: H < 10)
0 0
RedGreenBlue
z17.64
znorm Inf
sky -Inf -NaN -NaN
S/N 21.8 39.9 40.1
S/N(c) 0.0 0.0 0.0
SN(E/C) 0.94

IPAIRNAMESHIFTNEWSHIFTS/N NAMESHIFTNEWSHIFTS/N
0 05450027 0.495295 0.00000 18.6260 05450026 0.000462902 0.494832 18.5574
1 05450024 0.491958 0.00333700 18.7528 05450025 0.00121402 0.494081 18.7851
2 05450028 0.495250 4.50015e-05 18.6269 05450029 0.000987686 0.494307 18.6764
3 05450023 0.492011 0.00328398 18.3412 05450022 0.00000 0.495295 18.3032