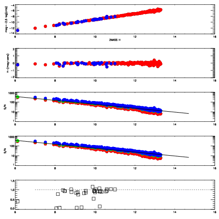
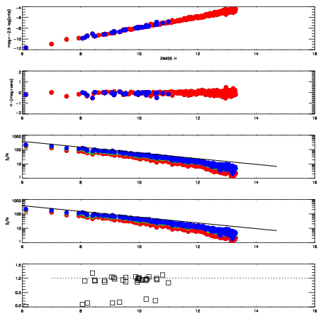
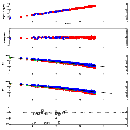
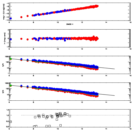
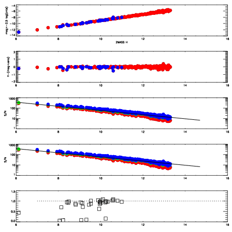
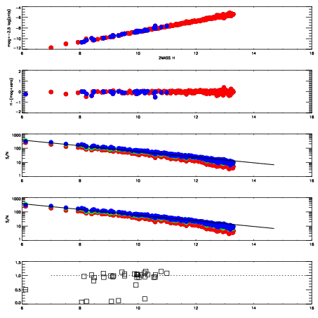
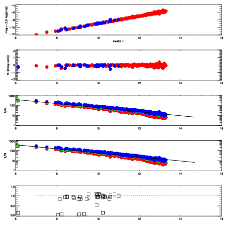
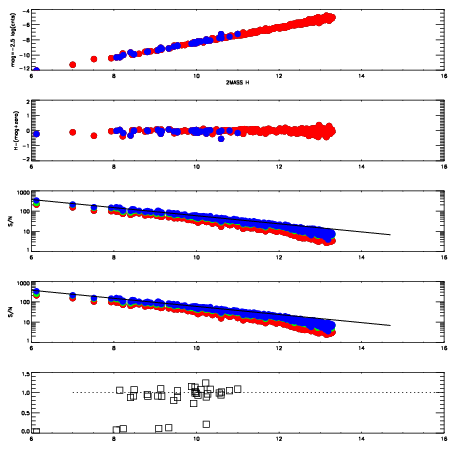
Frame | Nreads | Zeropoints | Mag plots
| Spatial mag deviation
| Spatial sky 16325A emission deviations (filled: sky, open: star)
| Spatial sky continuum emission
| Spatial sky telluric CO2 absorption deviations (filled: H < 10)
|
6320026
| 47
| | Red | Green | Blue
| z | | 17.94
| znorm | | 13.76
| sky | 13.9 | 13.8 | 13.9
| S/N | 6.9 | 12.5 | 12.9
| S/N(c) | 13.8 | 14.5 | 29.5
| SN(E/C) | 0.93
|
|
|
|
|
|
|
6320027
| 47
| | Red | Green | Blue
| z | | 18.39
| znorm | | 14.21
| sky | 14.0 | 13.9 | 14.1
| S/N | 9.7 | 16.7 | 17.5
| S/N(c) | 19.0 | 18.9 | 39.4
| SN(E/C) | 0.95
|
|
|
|
|
|
|
6320028
| 47
| | Red | Green | Blue
| z | | 19.10
| znorm | | 14.92
| sky | 14.3 | 14.3 | 14.6
| S/N | 16.4 | 26.4 | 28.3
| S/N(c) | 29.3 | 28.4 | 56.9
| SN(E/C) | 0.93
|
|
|
|
|
|
|
6320029
| 47
| | Red | Green | Blue
| z | | 18.73
| znorm | | 14.55
| sky | 14.1 | 14.2 | 14.3
| S/N | 12.4 | 21.1 | 22.5
| S/N(c) | 23.6 | 23.5 | 47.6
| SN(E/C) | 0.99
|
|
|
|
|
|
|
6320030
| 47
| | Red | Green | Blue
| z | | 19.03
| znorm | | 14.85
| sky | 14.3 | 14.4 | 14.6
| S/N | 15.4 | 25.5 | 26.9
| S/N(c) | 28.1 | 27.2 | 54.1
| SN(E/C) | 0.94
|
|
|
|
|
|
|
6320031
| 47
| | Red | Green | Blue
| z | | 19.12
| znorm | | 14.94
| sky | 14.6 | 14.6 | 14.7
| S/N | 16.8 | 27.2 | 28.6
| S/N(c) | 29.8 | 28.6 | 57.4
| SN(E/C) | 0.93
|
|
|
|
|
|
|
6320032
| 47
| | Red | Green | Blue
| z | | 19.15
| znorm | | 14.97
| sky | 14.7 | 14.5 | 14.6
| S/N | 17.1 | 27.5 | 29.0
| S/N(c) | 30.3 | 29.2 | 57.9
| SN(E/C) | 0.92
|
|
|
|
|
|
|
6320033
| 47
| | Red | Green | Blue
| z | | 19.16
| znorm | | 14.98
| sky | 14.6 | 14.6 | 14.5
| S/N | 17.0 | 27.5 | 29.2
| S/N(c) | 30.4 | 29.4 | 58.2
| SN(E/C) | 0.93
|
|
|
|
|
|
|