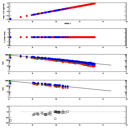
Left plots: red are targets, blue are telluric. Observed mags are calculated from median value of green chip. Zeropoint gives overall throughput: bigger number is more throughput.
First spatial plots: circles are objects, squares are tellurics, crosses are sky fibers. Colors give deviation of observed mag from expected 2MASS mag using the median zeropoint; red is brighter
Second spatial plots: circles are sky fibers. Colors give sky line brightness relative to plate median sky line brightness
FrameNreadsZeropointsMag plots Spatial mag deviation Spatial sky 16325A emission deviations (filled: sky, open: star) Spatial sky continuum emission Spatial sky telluric CO2 absorption deviations (filled: H < 10)
0 0
RedGreenBlue
z17.64
znorm Inf
sky -NaN -NaN -Inf
S/N 25.4 43.7 46.1
S/N(c) 0.0 0.0 0.0
SN(E/C) 0.92

IPAIRNAMESHIFTNEWSHIFTS/N NAMESHIFTNEWSHIFTS/N
0 06320027 0.475265 0.00000 18.3903 06320026 0.00000 0.475265 17.9306
1 06320032 0.474481 0.000784010 19.1396 06320033 -0.00468952 0.479955 19.1540
2 06320031 0.473139 0.00212601 19.1167 06320030 -0.00377538 0.479040 19.0181
3 06320028 0.475019 0.000245988 19.0972 06320029 0.00660872 0.468656 18.7210