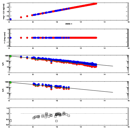
Left plots: red are targets, blue are telluric. Observed mags are calculated from median value of green chip. Zeropoint gives overall throughput: bigger number is more throughput.
First spatial plots: circles are objects, squares are tellurics, crosses are sky fibers. Colors give deviation of observed mag from expected 2MASS mag using the median zeropoint; red is brighter
Second spatial plots: circles are sky fibers. Colors give sky line brightness relative to plate median sky line brightness
FrameNreadsZeropointsMag plots Spatial mag deviation Spatial sky 16325A emission deviations (filled: sky, open: star) Spatial sky continuum emission Spatial sky telluric CO2 absorption deviations (filled: H < 10)
0 0
RedGreenBlue
z17.64
znorm Inf
sky -Inf -Inf -Inf
S/N 31.2 52.2 54.7
S/N(c) 0.0 0.0 0.0
SN(E/C) 0.86

IPAIRNAMESHIFTNEWSHIFTS/N NAMESHIFTNEWSHIFTS/N
0 06380013 0.474430 0.00000 19.0980 06380014 0.00428389 0.470146 19.0729
1 06380017 0.472997 0.00143299 19.1664 06380018 -0.00398488 0.478415 19.1785
2 06380016 0.473148 0.00128201 19.1375 06380015 0.00961046 0.464820 19.1499
3 06380012 0.473984 0.000445992 19.0968 06380011 0.00000 0.474430 19.0674