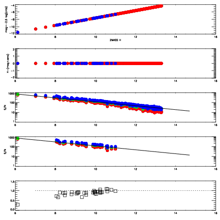
Left plots: red are targets, blue are telluric. Observed mags are calculated from median value of green chip. Zeropoint gives overall throughput: bigger number is more throughput.
First spatial plots: circles are objects, squares are tellurics, crosses are sky fibers. Colors give deviation of observed mag from expected 2MASS mag using the median zeropoint; red is brighter
Second spatial plots: circles are sky fibers. Colors give sky line brightness relative to plate median sky line brightness
FrameNreadsZeropointsMag plots Spatial mag deviation Spatial sky 16325A emission deviations (filled: sky, open: star) Spatial sky continuum emission Spatial sky telluric CO2 absorption deviations (filled: H < 10)
0 0
RedGreenBlue
z17.64
znorm Inf
sky -Inf -Inf -Inf
S/N 29.4 49.4 52.5
S/N(c) 0.0 0.0 0.0
SN(E/C) 0.91

IPAIRNAMESHIFTNEWSHIFTS/N NAMESHIFTNEWSHIFTS/N
0 06610015 0.470784 0.00000 19.1619 06610014 0.00164214 0.469142 19.1364
1 06610016 0.470685 9.90033e-05 19.2137 06610017 -0.00175066 0.472535 19.1759
2 06610012 0.469930 0.000854015 19.0659 06610013 0.00417279 0.466611 19.0903
3 06610011 0.470365 0.000419021 19.0463 06610010 0.00000 0.470784 18.9877