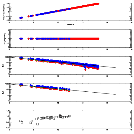
Left plots: red are targets, blue are telluric. Observed mags are calculated from median value of green chip. Zeropoint gives overall throughput: bigger number is more throughput.
First spatial plots: circles are objects, squares are tellurics, crosses are sky fibers. Colors give deviation of observed mag from expected 2MASS mag using the median zeropoint; red is brighter
Second spatial plots: circles are sky fibers. Colors give sky line brightness relative to plate median sky line brightness
FrameNreadsZeropointsMag plots Spatial mag deviation Spatial sky 16325A emission deviations (filled: sky, open: star) Spatial sky continuum emission Spatial sky telluric CO2 absorption deviations (filled: H < 10)
0 0
RedGreenBlue
z17.64
znorm Inf
sky -Inf -Inf -NaN
S/N 28.1 44.9 45.4
S/N(c) 0.0 0.0 0.0
SN(E/C) 0.87

IPAIRNAMESHIFTNEWSHIFTS/N NAMESHIFTNEWSHIFTS/N
0 05280017 0.488362 0.00000 19.1548 05280014 -0.00118965 0.489552 19.0458
1 05280016 0.488047 0.000315011 19.1557 05280015 0.00161143 0.486751 19.1095
2 05280012 0.485432 0.00293002 18.9985 05280018 0.00161806 0.486744 19.0431
3 05280013 0.485772 0.00259000 18.9517 05280011 0.00000 0.488362 18.9420