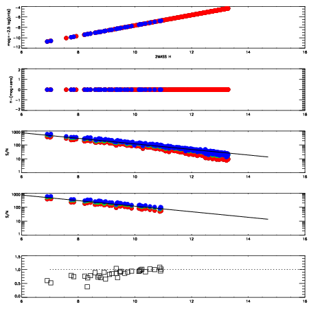
Left plots: red are targets, blue are telluric. Observed mags are calculated from median value of green chip. Zeropoint gives overall throughput: bigger number is more throughput.
First spatial plots: circles are objects, squares are tellurics, crosses are sky fibers. Colors give deviation of observed mag from expected 2MASS mag using the median zeropoint; red is brighter
Second spatial plots: circles are sky fibers. Colors give sky line brightness relative to plate median sky line brightness
FrameNreadsZeropointsMag plots Spatial mag deviation Spatial sky 16325A emission deviations (filled: sky, open: star) Spatial sky continuum emission Spatial sky telluric CO2 absorption deviations (filled: H < 10)
0 0
RedGreenBlue
z17.64
znorm Inf
sky -Inf -Inf -Inf
S/N 24.8 43.3 42.4
S/N(c) 0.0 0.0 0.0
SN(E/C) 0.89

IPAIRNAMESHIFTNEWSHIFTS/N NAMESHIFTNEWSHIFTS/N
0 05480064 0.489262 0.00000 18.9252 05480065 0.00503034 0.484232 18.9498
1 05480060 0.488305 0.000957012 18.8682 05480061 0.00270699 0.486555 18.9282
2 05480063 0.488444 0.000818014 18.8227 05480058 0.00000 0.489262 18.9080
3 05480059 0.486215 0.00304702 18.7801 05480062 0.00193704 0.487325 18.8365