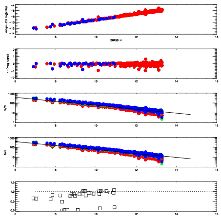
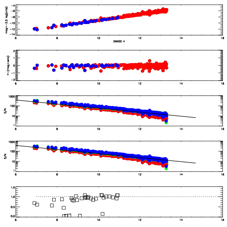
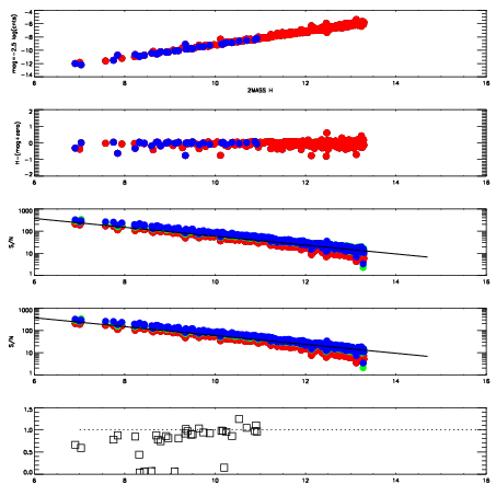
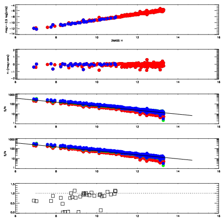
Frame | Nreads | Zeropoints | Mag plots
| Spatial mag deviation
| Spatial sky 16325A emission deviations (filled: sky, open: star)
| Spatial sky continuum emission
| Spatial sky telluric CO2 absorption deviations (filled: H < 10)
|
2830008
| 47
| | Red | Green | Blue
| z | | 19.18
| znorm | | 15.00
| sky | 14.5 | 14.2 | 14.0
| S/N | 17.2 | 27.4 | 26.4
| S/N(c) | 19.6 | 24.0 | 7.9
| SN(E/C) | 0.86
|
|
|
|
|
|
|
2830009
| 47
| | Red | Green | Blue
| z | | 19.21
| znorm | | 15.03
| sky | 14.7 | 14.6 | 14.2
| S/N | 16.9 | 27.7 | 26.7
| S/N(c) | 19.4 | 24.1 | 8.0
| SN(E/C) | 0.87
|
|
|
|
|
|
|
2830010
| 47
| | Red | Green | Blue
| z | | 19.20
| znorm | | 15.02
| sky | 14.4 | 14.5 | 14.2
| S/N | 16.9 | 27.5 | 26.9
| S/N(c) | 19.4 | 24.1 | 7.9
| SN(E/C) | 0.86
|
|
|
|
|
|
|
2830011
| 47
| | Red | Green | Blue
| z | | 19.19
| znorm | | 15.01
| sky | 14.5 | 14.5 | 14.3
| S/N | 16.5 | 27.1 | 26.9
| S/N(c) | 19.3 | 24.0 | 7.9
| SN(E/C) | 0.87
|
|
|
|
|
|
|
2830012
| 47
| | Red | Green | Blue
| z | | 19.20
| znorm | | 15.02
| sky | 14.7 | 14.6 | 14.3
| S/N | 16.6 | 27.0 | 27.2
| S/N(c) | 19.3 | 24.0 | 8.0
| SN(E/C) | 0.89
|
|
|
|
|
|
|
2830013
| 47
| | Red | Green | Blue
| z | | 19.22
| znorm | | 15.04
| sky | 14.5 | 14.5 | 14.3
| S/N | 16.6 | 27.4 | 27.4
| S/N(c) | 19.5 | 24.2 | 8.0
| SN(E/C) | 0.87
|
|
|
|
|
|
|
2830014
| 47
| | Red | Green | Blue
| z | | 19.21
| znorm | | 15.03
| sky | 14.6 | 14.6 | 14.3
| S/N | 17.0 | 27.3 | 27.2
| S/N(c) | 19.4 | 24.0 | 8.0
| SN(E/C) | 0.89
|
|
|
|
|
|
|
2830015
| 47
| | Red | Green | Blue
| z | | 19.20
| znorm | | 15.02
| sky | 14.7 | 14.7 | 14.4
| S/N | 16.2 | 26.5 | 27.1
| S/N(c) | 19.1 | 23.9 | 7.9
| SN(E/C) | 0.92
|
|
|
|
|
|
|