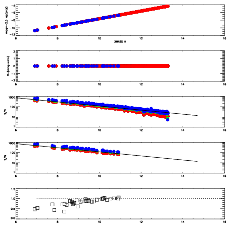
Left plots: red are targets, blue are telluric. Observed mags are calculated from median value of green chip. Zeropoint gives overall throughput: bigger number is more throughput.
First spatial plots: circles are objects, squares are tellurics, crosses are sky fibers. Colors give deviation of observed mag from expected 2MASS mag using the median zeropoint; red is brighter
Second spatial plots: circles are sky fibers. Colors give sky line brightness relative to plate median sky line brightness
FrameNreadsZeropointsMag plots Spatial mag deviation Spatial sky 16325A emission deviations (filled: sky, open: star) Spatial sky continuum emission Spatial sky telluric CO2 absorption deviations (filled: H < 10)
0 0
RedGreenBlue
z17.64
znorm Inf
sky -Inf -Inf -Inf
S/N 27.5 46.9 51.1
S/N(c) 0.0 0.0 0.0
SN(E/C) 0.87

IPAIRNAMESHIFTNEWSHIFTS/N NAMESHIFTNEWSHIFTS/N
0 06590016 0.471615 0.00000 19.1302 06590017 -0.00175475 0.473370 19.1348
1 06590012 0.470871 0.000743985 19.1418 06590014 0.00476351 0.466851 19.1468
2 06590015 0.470703 0.000911981 19.1364 06590013 0.000307503 0.471307 19.1388
3 06590011 0.470761 0.000853986 19.1268 06590010 0.00000 0.471615 19.0969