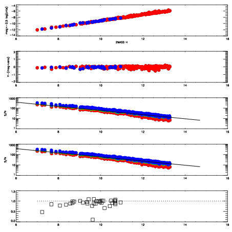
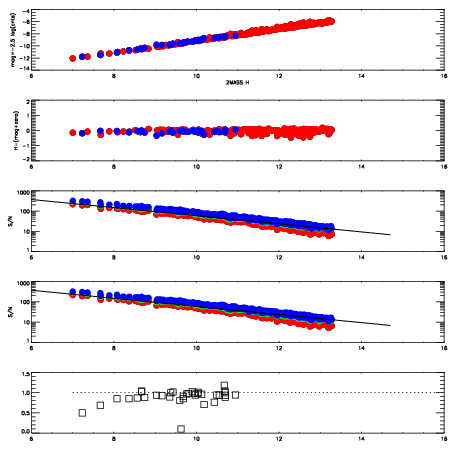
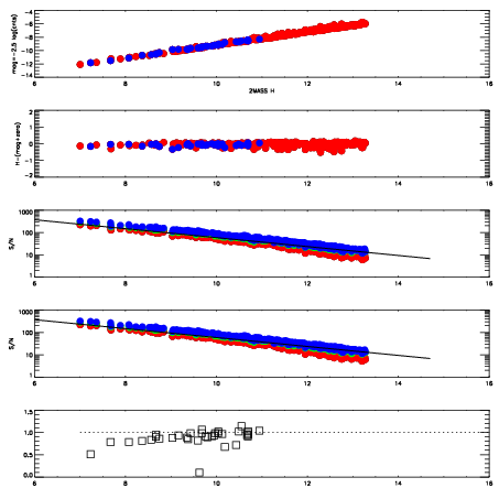
Frame | Nreads | Zeropoints | Mag plots
| Spatial mag deviation
| Spatial sky 16325A emission deviations (filled: sky, open: star)
| Spatial sky continuum emission
| Spatial sky telluric CO2 absorption deviations (filled: H < 10)
|
5230069
| 47
| | Red | Green | Blue
| z | | 19.19
| znorm | | 15.01
| sky | 14.3 | 14.3 | 14.5
| S/N | 15.8 | 25.5 | 27.5
| S/N(c) | 32.0 | 12.6 | 22.8
| SN(E/C) | 0.94
|
|
|
|
|
|
|
5230070
| 47
| | Red | Green | Blue
| z | | 19.12
| znorm | | 14.94
| sky | 14.5 | 14.2 | 14.5
| S/N | 15.5 | 25.4 | 27.1
| S/N(c) | 31.2 | 12.2 | 22.3
| SN(E/C) | 0.94
|
|
|
|
|
|
|
5230071
| 47
| | Red | Green | Blue
| z | | 19.20
| znorm | | 15.02
| sky | 14.4 | 14.3 | 14.6
| S/N | 16.3 | 26.3 | 28.5
| S/N(c) | 33.2 | 12.8 | 23.4
| SN(E/C) | 0.91
|
|
|
|
|
|
|
5230072
| 47
| | Red | Green | Blue
| z | | 19.23
| znorm | | 15.05
| sky | 14.4 | 14.5 | 14.5
| S/N | 16.7 | 27.3 | 29.1
| S/N(c) | 33.6 | 13.0 | 24.0
| SN(E/C) | 0.94
|
|
|
|
|
|
|
5230073
| 47
| | Red | Green | Blue
| z | | 19.23
| znorm | | 15.05
| sky | 14.5 | 14.6 | 14.6
| S/N | 16.9 | 27.7 | 29.2
| S/N(c) | 33.2 | 13.0 | 23.9
| SN(E/C) | 0.90
|
|
|
|
|
|
|
5230074
| 47
| | Red | Green | Blue
| z | | 19.16
| znorm | | 14.98
| sky | 14.5 | 14.5 | 14.6
| S/N | 16.2 | 26.5 | 28.3
| S/N(c) | 31.8 | 12.6 | 22.9
| SN(E/C) | 0.92
|
|
|
|
|
|
|
5230075
| 47
| | Red | Green | Blue
| z | | 19.21
| znorm | | 15.03
| sky | 14.6 | 14.5 | 14.6
| S/N | 16.4 | 26.9 | 29.5
| S/N(c) | 32.6 | 13.0 | 23.6
| SN(E/C) | 0.92
|
|
|
|
|
|
|
5230076
| 47
| | Red | Green | Blue
| z | | 19.20
| znorm | | 15.02
| sky | 14.4 | 14.5 | 14.6
| S/N | 15.9 | 26.4 | 28.8
| S/N(c) | 32.2 | 12.9 | 23.5
| SN(E/C) | 0.94
|
|
|
|
|
|
|