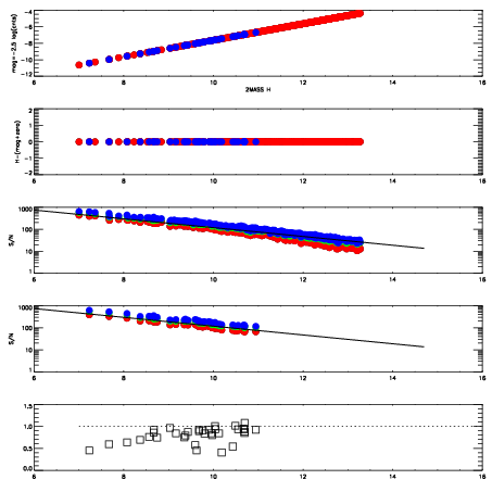
Left plots: red are targets, blue are telluric. Observed mags are calculated from median value of green chip. Zeropoint gives overall throughput: bigger number is more throughput.
First spatial plots: circles are objects, squares are tellurics, crosses are sky fibers. Colors give deviation of observed mag from expected 2MASS mag using the median zeropoint; red is brighter
Second spatial plots: circles are sky fibers. Colors give sky line brightness relative to plate median sky line brightness
FrameNreadsZeropointsMag plots Spatial mag deviation Spatial sky 16325A emission deviations (filled: sky, open: star) Spatial sky continuum emission Spatial sky telluric CO2 absorption deviations (filled: H < 10)
0 0
RedGreenBlue
z17.64
znorm Inf
sky -Inf -Inf -Inf
S/N 29.4 50.9 54.4
S/N(c) 0.0 0.0 0.0
SN(E/C) 0.85

IPAIRNAMESHIFTNEWSHIFTS/N NAMESHIFTNEWSHIFTS/N
0 05230075 0.494068 0.00000 19.1948 05230072 0.000310364 0.493758 19.2163
1 05230071 0.491306 0.00276199 19.1935 05230073 0.00138176 0.492686 19.2145
2 05230074 0.493101 0.000966996 19.1443 05230076 -0.000331832 0.494400 19.1769
3 05230070 0.490583 0.00348499 19.1077 05230069 0.00000 0.494068 19.1740