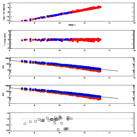
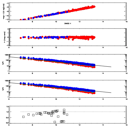
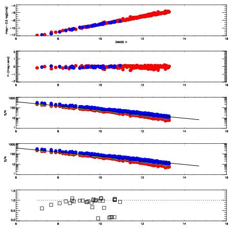
Frame | Nreads | Zeropoints | Mag plots
| Spatial mag deviation
| Spatial sky 16325A emission deviations (filled: sky, open: star)
| Spatial sky continuum emission
| Spatial sky telluric CO2 absorption deviations (filled: H < 10)
|
5270010
| 47
| | Red | Green | Blue
| z | | 19.09
| znorm | | 14.91
| sky | 14.4 | 14.4 | 14.4
| S/N | 15.8 | 26.2 | 27.2
| S/N(c) | 30.1 | 19.7 | 48.1
| SN(E/C) | 0.88
|
|
|
|
|
|
|
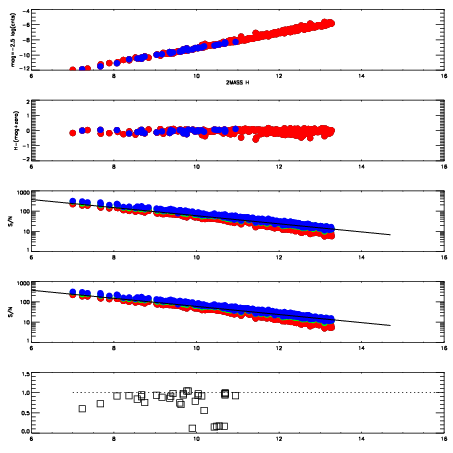
5270011
| 47
| | Red | Green | Blue
| z | | 19.12
| znorm | | 14.94
| sky | 14.6 | 14.6 | 14.8
| S/N | 15.8 | 26.3 | 28.0
| S/N(c) | 29.8 | 19.9 | 48.1
| SN(E/C) | 0.91
|
|
|
|
|
|
|
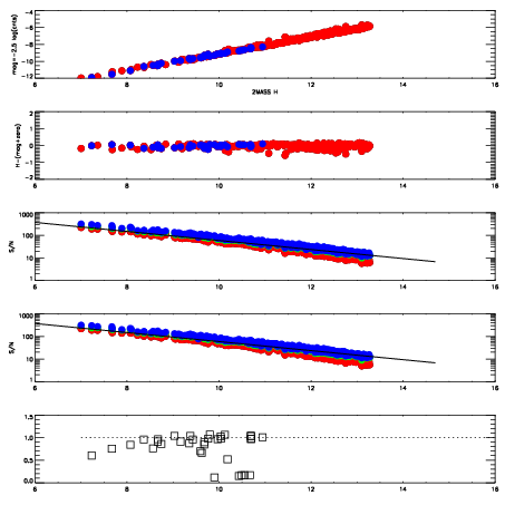
5270012
| 47
| | Red | Green | Blue
| z | | 19.15
| znorm | | 14.97
| sky | 14.7 | 14.7 | 14.8
| S/N | 15.8 | 26.4 | 28.5
| S/N(c) | 30.3 | 20.0 | 48.8
| SN(E/C) | 0.91
|
|
|
|
|
|
|
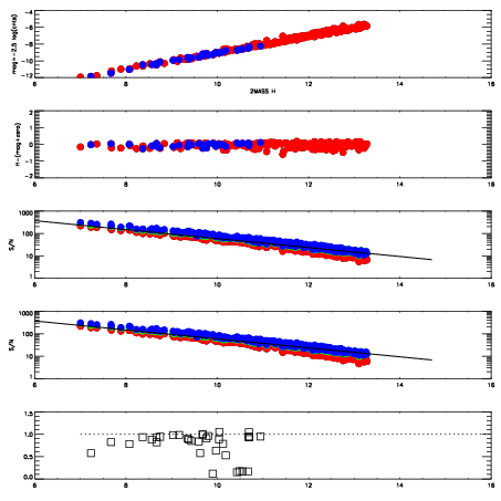
5270013
| 47
| | Red | Green | Blue
| z | | 19.14
| znorm | | 14.96
| sky | 14.7 | 14.7 | 14.9
| S/N | 15.4 | 26.0 | 27.9
| S/N(c) | 30.0 | 19.9 | 48.5
| SN(E/C) | 0.86
|
|
|
|
|
|
|
5270014
| 47
| | Red | Green | Blue
| z | | 19.07
| znorm | | 14.89
| sky | 14.7 | 14.9 | 14.9
| S/N | 14.5 | 24.3 | 26.1
| S/N(c) | 28.8 | 19.3 | 46.1
| SN(E/C) | 0.95
|
|
|
|
|
|
|
5270015
| 47
| | Red | Green | Blue
| z | | 19.11
| znorm | | 14.93
| sky | 14.8 | 14.8 | 14.8
| S/N | 14.8 | 25.0 | 26.9
| S/N(c) | 29.4 | 19.7 | 47.7
| SN(E/C) | 0.89
|
|
|
|
|
|
|
5270016
| 47
| | Red | Green | Blue
| z | | 19.10
| znorm | | 14.92
| sky | 14.8 | 15.0 | 14.9
| S/N | 14.7 | 24.8 | 26.8
| S/N(c) | 29.1 | 19.4 | 47.2
| SN(E/C) | 0.94
|
|
|
|
|
|
|
5270017
| 47
| | Red | Green | Blue
| z | | 19.09
| znorm | | 14.91
| sky | 14.6 | 14.7 | 15.0
| S/N | 14.5 | 24.3 | 26.5
| S/N(c) | 28.9 | 19.4 | 46.9
| SN(E/C) | 0.91
|
|
|
|
|
|
|